3 svar
146 visningar
Harrystyles89 behöver inte mer hjälp
Harrystyles89 55
Postad: 28 jan 2022 12:37

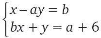
Substitationsmetoden

 x = 7 

Y = 2

Hej 

Jag vet att jag ska lösa den med hjälp av substitationsmetoden, jag har börjat med att byta ut x och y med 2 och 7 

7-2a=b

7b+2= a+6 

men jag vet inte hur jag ska fortsätta! 

Smutstvätt 23652 – Moderator
Postad: 28 jan 2022 12:43

Du har markerat att du är nöjd med hjälpen. Var detta ett misstag, eller har du hittat lösningen någon annanstans? Om du fortfarande behöver hjälp, kan du ta bort markeringen genom att trycka på "Avmarkera". :)

Harrystyles89 55
Postad: 28 jan 2022 12:44
Smutstvätt skrev:

Du har markerat att du är nöjd med hjälpen. Var detta ett misstag, eller har du hittat lösningen någon annanstans? Om du fortfarande behöver hjälp, kan du ta bort markeringen genom att trycka på "Avmarkera". :)

Jag hittade lösningen, tack ändå 

Smutstvätt 23652 – Moderator
Postad: 28 jan 2022 12:45

Vad bra! 

Svara
Close