4 svar
166 visningar
Päivi 5547 – Avstängd
Postad: 20 feb 2018 11:58 Redigerad: 20 feb 2018 11:59

Substitutions metoden ( är detta fel? )

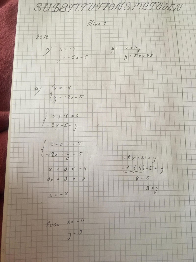
Jag löste ekvationssystemet på det här sättet

Bubo 7952
Postad: 20 feb 2018 12:09 Redigerad: 20 feb 2018 12:10

Om man behöver nio rader för att komma från x = -4 till x = -4 bör man misstänka att det finns något enklare sätt att lösa uppgiften.

Päivi 5547 – Avstängd
Postad: 20 feb 2018 12:16

Eftersom det inte fanns y, var jag tvungen sätta 0. Jag skulle ja kunnat skriva 0* y. 

Smaragdalena 78892 – Avstängd
Postad: 20 feb 2018 13:38

Du krånglar till det något gränslöst för dig. Det är mycket lättare än du tror. 

Du vet från den första ekvationen att x = -4. Att substituera betyder att byta ut - i det här fallet byter du ut x mot något som är lika mycket, nämligen -4.

Sätt in att x = -4 i den andra ekvationen, så att det blir y = -2(-4)-5.

Förenkla så får du y = 8-5 = 3. Klart.

Svar: x = -4, y = 3.

Päivi 5547 – Avstängd
Postad: 20 feb 2018 15:12

Tack Magdalena för detta! Jag kom nyss hem. Min gamla mobil telefon hade somnat. Batterierna var jag tvungen bytas. Har hämtat min telefon från mobil verkstad. En telefon som man inte kan byta batterier själv på. Det är en iPhone telefon. Batterierna höll på den 6 års tid. 

Svara
Close