8 svar
206 visningar
Päivi 5547 – Avstängd
Postad: 20 feb 2018 15:49

Substitutions metoden är detta riktigt nu

Dr. G 9618
Postad: 20 feb 2018 15:59

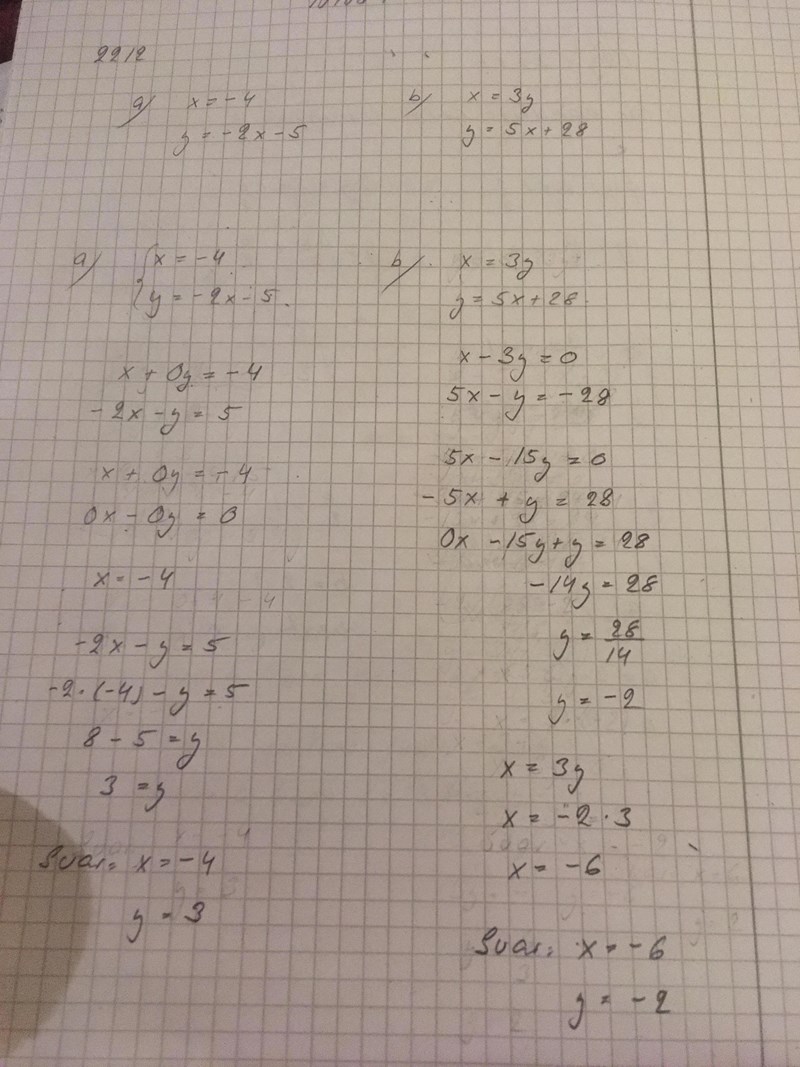
Först står det

y = 3y

Sedan står det 

y = -2

och slutligen

y = -6

Päivi 5547 – Avstängd
Postad: 20 feb 2018 16:03

Jag kommer lösa detta efter gamla metoden som jag har lärt av min sambo. Det system fungerar bättre hos mig än det här nya. Kan inte hjälpas.

Yngve 42360
Postad: 20 feb 2018 17:31
Päivi skrev :

Hej Päivi.

Nej det är inte riktigt. Du har nog skrivit av uppgiften fel. Antagligen ska första ekvationen vara x = 3y.

Päivi 5547 – Avstängd
Postad: 20 feb 2018 22:52

Ja, det är helt riktigt. Jag gör matte många gånger i sömnen här. Jag är specialist inom området skriva fel. 

Päivi 5547 – Avstängd
Postad: 21 feb 2018 02:40 Redigerad: 21 feb 2018 02:55

Jag har löst många ekvationssystem och har haft ekvationssystem på matte provet och har aldrig fått nedslag på det. 

Detta är också en mode sak, hur man ska lösa det. Det svåra sitter där ska man ta första eller andra termen. Hela ekvationssystemet ska multipliceras med varandra och byta tecken. 

Se här två olika sätt

Yngve 42360
Postad: 21 feb 2018 06:03 Redigerad: 21 feb 2018 06:04
Päivi skrev :

Jag har löst många ekvationssystem och har haft ekvationssystem på matte provet och har aldrig fått nedslag på det. 

Detta är också en mode sak, hur man ska lösa det. Det svåra sitter där ska man ta första eller andra termen. Hela ekvationssystemet ska multipliceras med varandra och byta tecken. 

Se här två olika sätt

Hej Päivi. Du var löst båda ekvationssystemen med samma metod, nämligen additionsmetoden.

Det är inte fel i sig, men i båda dessa fallen är substitutionsmetoden att föredra efrersom den ger kortare och enklare beräkningar med mindre risk för slarvfel.

Beroende på uppgift kan du även riskera poängavdrag om du väljer en onödigt komplicerad metod på ett prov.

Päivi 5547 – Avstängd
Postad: 21 feb 2018 06:16

Ja, det finns ekvationssystem i matte 3 också med tre obekanta. 

Smaragdalena 78892 – Avstängd
Postad: 21 feb 2018 09:36

Linjära ekvationssystem med 3 obekanta ingår i Ma2c numera.

Svara
Close