Substitutionsmetoden

Hur erhålls/härleds lösningarna (-2,1) & (3,-4)?
Ekvationssystemet ser ut som följande:
Jag har erhållit två korrekta fyra korrekta svarsalternativ, varav två står i facit och två ej. I facit finns två lösningar som ej jag har kunnat härleda. Nämligen lösningarna, (-2,1) och (3,-4). Hur härleder man dessa? Jag testade att sätta en av paranteserna i ekvation 1, den övre, lika med noll. Jag försökte lösa ut en variable i ekvation två och sitta i ett, vilket blev krångligt att lösa.
Detta är mer specifikt vad jag försökt illustreras ovan i de två bilderna.
Tack på förhand för er hjälp.
Plopp99 skrev:
Hur erhålls/härleds lösningarna (-2,1) & (3,-4)?
Ekvationssystemet ser ut som följande:
Jag har erhållit två korrekta fyra korrekta svarsalternativ, varav två står i facit och två ej. I facit finns två lösningar som ej jag har kunnat härleda. Nämligen lösningarna, (-2,1) och (3,-4). Hur härleder man dessa? Jag testade att sätta en av paranteserna i ekvation 1, den övre, lika med noll. Jag försökte lösa ut en variable i ekvation två och sitta i ett, vilket blev krångligt att lösa.
Detta är mer specifikt vad jag försökt illustreras ovan i de två bilderna.
Tack på förhand för er hjälp.
Kan du dubbelkolla grundekvationerna?
Ska det vara
som du har skrivit i uppgiften och på det ena papperet eller
som du har skrivit på det andra papperet?
Tittar du på rätt uppgift i facit? Varken (-2,1) eller (3,-4) satisfierar ekvation 2, om HL = 0.
Är detta verkligen en Ma2-fråga? Det är bara linjära ekvationssystem med 2 obekanta som ingår i Ma2 (3 obekanta i Ma2c) /moderator
Yngve skrev:Plopp99 skrev:
Hur erhålls/härleds lösningarna (-2,1) & (3,-4)?
Ekvationssystemet ser ut som följande:
Jag har erhållit två korrekta fyra korrekta svarsalternativ, varav två står i facit och två ej. I facit finns två lösningar som ej jag har kunnat härleda. Nämligen lösningarna, (-2,1) och (3,-4). Hur härleder man dessa? Jag testade att sätta en av paranteserna i ekvation 1, den övre, lika med noll. Jag försökte lösa ut en variable i ekvation två och sitta i ett, vilket blev krångligt att lösa.
Detta är mer specifikt vad jag försökt illustreras ovan i de två bilderna.
Tack på förhand för er hjälp.
Kan du dubbelkolla grundekvationerna?
Ska det vara
som du har skrivit i uppgiften och på det ena papperet eller
som du har skrivit på det andra papperet?
Jag har nu ändrat vad jag skrev i min fråga. Det ska vara (y+2).
Börja med den översta ekvationen. Eftersom produkten är 0 måste antingen y - 2 = 0 eller x + y + 1 = 0 gälla.
Då kan man pröva vad båda alternativen leder till.
Om vi sätter in det i den nedersta ekvationen får vi:
Den ekvationen saknar reella lösningar. Alltså finns det ingen reell lösning till systemet där y = 2
Då kollar vi det andra alternativet:
Detta kan man sätta in i den undre ekvationen:
Om man löser den på vanligt sätt får man:
Substitution i ekvationen ger dig:
och är korrekta lösningar till det ekvationssystem du har skrivit i inlägget. Eftersom de inte är samma som i ditt facit misstänker jag att du har skrivit av systemet fel. Kolla upp det, och sedan kan du lösa din med samma metod.
Smaragdalena skrev:Tittar du på rätt uppgift i facit? Varken (-2,1) eller (3,-4) satisfierar ekvation 2.
Är detta verkligen en Ma2-fråga? Det är bara linjära ekvationssystem med 2 obekanta som ingår i Ma2. /moderator

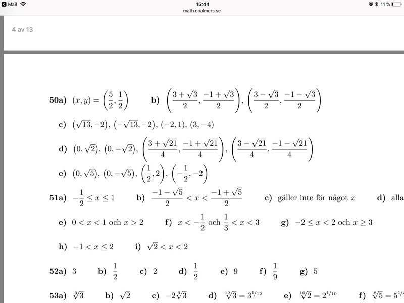
Ja, du ser uppgiften 50 c) i bilden ovan och dess svarsalternativ.
Vi håller på med repitionsmatematik för tillfället. Vart tycker du denna uppgift passar, jag är inte säker.
SvanteR skrev:Börja med den översta ekvationen. Eftersom produkten är 0 måste antingen y - 2 = 0 eller x + y + 1 = 0 gälla.
Då kan man pröva vad båda alternativen leder till.
Om vi sätter in det i den nedersta ekvationen får vi:
Den ekvationen saknar reella lösningar. Alltså finns det ingen reell lösning till systemet där y = 2
Då kollar vi det andra alternativet:
Detta kan man sätta in i den undre ekvationen:
Om man löser den på vanligt sätt får man:
Substitution i ekvationen ger dig:
och är korrekta lösningar till det ekvationssystem du har skrivit i inlägget. Eftersom de inte är samma som i ditt facit misstänker jag att du har skrivit av systemet fel. Kolla upp det, och sedan kan du lösa din med samma metod.
Tack för ditt svar. Råkade tyvärr skriva ett minus tecken istället för plus i min fråga. Hur som helst, du verkar ha kommit fram till ett svar som jag inte finner i facit. Förmodligen har jag gjort något slarvfel, en bild på självaste frågan och svaret finns i en annan kommentar ovan.
Hej!
Med kvadratkomplettering kan Ekvation 2 skrivas
.
Geometriskt är detta en cirkel med centrum i punkten (0,-2) och radien .
Kombinerar du detta med Ekvation 1 söker du efter skärningspunkterna mellan denna cirkel och den horisontella linjen eller med den räta linjen .
Okej, jag måste alltså skriva av uppgiften ordentligt.
Plopp99 skrev:Okej, jag måste alltså skriva av uppgiften ordentligt.
Är detta lärdomen som du tar med dig från alla våra inlägg i denna tråd? Att du ska skriva av uppgiften ordentligt!?
Plopp99 skrev:Okej, jag måste alltså skriva av uppgiften ordentligt.
Det måste du alltid göra.
Annars är det väldigt svårt att komma fram till rätt svar.
Albiki skrev:Plopp99 skrev:Okej, jag måste alltså skriva av uppgiften ordentligt.
Är detta lärdomen som du tar med dig från alla våra inlägg i denna tråd? Att du ska skriva av uppgiften ordentligt!?
Delvis, ja, det är en grej, de andra hjälpte mig inte komma fram till något jag inte själv kom fram till, givet den informationen jag utgick ifrån. Förutom att jag ska skriva av uppgiften rätt och lite logistik grejer. Men nu försöker jag förstå hur du kom fram till att radie ska vara det du skrev och hur jag nu ska angripa uppgiften. Försöker söka runt på nätet angående cirklars geomtri.
Okej, löste sig nu, tack så mycket alla.