Substitutionsmetoden, hur?
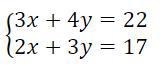
Hej! Jag har varit fast på en uppgift i flera timmar nu. Jag har kollat på alla möjliga typer av filmer angående hur man använder sig av substitutionsmetoden men lyckas inte tillämpa den i denna uppgift, jag har även testat att lösa nedan ekvationssystem med hjälp av additionsmetoden men lyckas inte lösa uppgiften med den heller.

Kan ni kolla på min uträkning och hjälpa mig förstå vart det blev fel och hur jag borde gjort istället?

Tack på förhand!
Hej
Kan du dubbelkolla rad 3
Mvh
Två saker som jag ser: du flyttar 3y till andra sidan utan att byta tecken. Så du borde få
på rad 3. Sen, när du sätter in uttrycket för x i den andra ekvationen hoppar högerledet från 22 till 39. Jag antar att du blandar ihop med additionsmetoden. Men i substitutionsmetoden byter man bara variabeln: x *är lika med* det där uttrycket, så de får man byta ut utan att något annat justeras. Högerledet ska alltså fortsatt vara 22.
Det ser ut att ha gått snett när du tar och stoppar in i . Du ska inte addera konstanterna i högerledet (det gör man i additionsmetoden). I behöver du bara skriva istället för .
Toffelfabriken skrev:Det ser ut att ha gått snett när du tar och stoppar in i . Du ska inte addera konstanterna i högerledet (det gör man i additionsmetoden). I behöver du bara skriva istället för .
Om jag gör som du säger får jag 3(1,5y+8,5)+4y=22 --> 4,5y+4y=8,5y --> 3*8,5=25,5. --> 8,5y+25,5=22. Är det korrekt genomfört än så länge?
Skaft skrev:Två saker som jag ser: du flyttar 3y till andra sidan utan att byta tecken. Så du borde få
på rad 3. Sen, när du sätter in uttrycket för x i den andra ekvationen hoppar högerledet från 22 till 39. Jag antar att du blandar ihop med additionsmetoden. Men i substitutionsmetoden byter man bara variabeln: x *är lika med* det där uttrycket, så de får man byta ut utan att något annat justeras. Högerledet ska alltså fortsatt vara 22.
Om jag gör som du säger får jag 2x= -3y+17 --> x= -1,5y+8,5 --> 3(-1,5y+8,5) + 4y=22.
-4,5y+4y= -0,5y
-0,5y+25,5=22
Är jag inne på rätt spår här?
Minim skrev:Om jag gör som du säger får jag 2x= -3y+17 --> x= -1,5y+8,5 --> 3(-1,5y+8,5) + 4y=22.
-4,5y+4y= -0,5y
-0,5y+25,5=22
Är jag inne på rätt spår här?
Ja, det där ser bra ut tycker jag =)
Skaft skrev:Minim skrev:Om jag gör som du säger får jag 2x= -3y+17 --> x= -1,5y+8,5 --> 3(-1,5y+8,5) + 4y=22.
-4,5y+4y= -0,5y
-0,5y+25,5=22
Är jag inne på rätt spår här?
Ja, det där ser bra ut tycker jag =)
Okej, bra! Efter detta så subtraherar jag 25,5 från VL och HL och får då att -0,5y=-3,5. Vad gör jag efter detta? Jag vill gärna gångra med 2 i HL och VL men då får jag ju -1y=-7. Känns inte som rätt uträknat?
Jodå, so far so good. Men vi vill veta vad y är, så vänd på tecknet: Om -y är -7, då måste y vara 7.
Du kan också gångra med -2 istället för med 2, så får du rätt tecken på y i samma steg.