3
svar
184
visningar
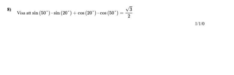
subtraktionsmetoden för cosinus
Hej! hur kan jag applicera subtraktionsmetoden för cosinus för att kunna lösa en sån här uppgift.

I din formelsamling har du säkert en subtraktionsformel för cosinus som ser ut ungefär så här:
Vad händer om du sätter och ?
Vet att jag har svarat rätt men är det här metoden korrekt? (Använde miniräknare för att ta fram cos 20 osv)
