0
svar
107
visningar
Summa av serie

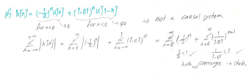
Enligt facit

Villkor för stabilitet
Hur blir
?
Det gäller att , men i facit verkar det som de antar att , eftersom absolutbeloppet hoppar till endast kvoten ?
Edit: för och för