0
svar
54
visningar
Soderstrom behöver inte mer hjälp
Summa av serier (3)
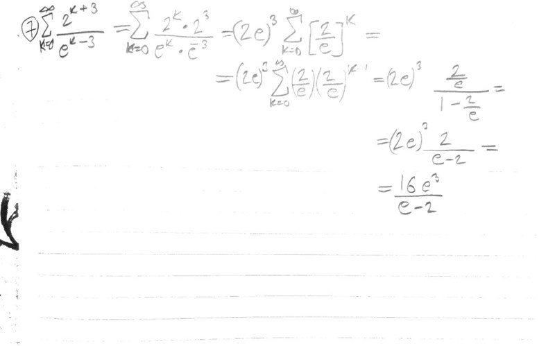
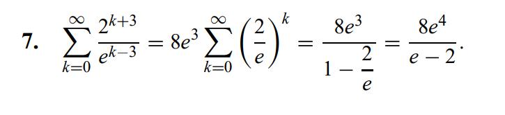
Alltså, jag gör samma misstag som föregående tråd (säkert), men jag förstår inte varför det är fel...
Min lösning och facit:
Edit: fick hjälp i föregående tråd vilket löste även denna uppgift:)

