Summaformel Akustik
Jag räknar på resulterande reduktionstal Rw för sammansatta byggdelar ( t ex. vägg+dörr+ fönster+hål i vägg) med hjälp av arbetsmiljöverkets boschyr:
https://www.av.se/globalassets/filer/publikationer/bocker/buller-och-bullerbekampning-bok-h003.pdf
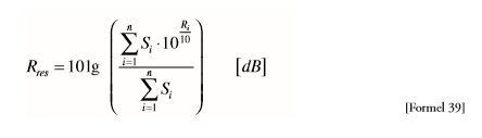
formel 38 på s. 120 klarar jag att lösa problemfritt, men den går bara att använda för två areor med skilda reduktionstal.
(t ex en vägg med dörr)
Den mer generella summaformeln 39 har jag däremot glömt hur man räknar med.
Jag har räknehjälpmedel men behöver visa hela beräkningen för t ex en vägg med en dörr, ett fönster och ett hål.
Exempelvis så kan jag med excel räkna ut att en 12m2 vägg med reduktionstal R´w=44 dB med en dörr 2,1m2 reduktionstal R´w=30dB och ett fönster 2m2 R´w=35dB samt ett hål 0,04m2 reduktionstal=0dB får en resulterande reduktion på 24dB.
Hur visar jag det med formeln 39?
// Tråd flyttad till från Matematik > Allmäna disskussioner till Natur och teknik > Teknik av moderator. /statement
Formeln är bara en summering av delytor och motsvarande reduktionstal, så om man sätter in dina siffror blir parentesen i formel 39:


Hej och tack för svaret!
Jag får inte siffrorna att stämma:
(301426,37+2100,0+6324,56+0,04)/16,14=19197,70
10lg19197,70=42,83 ett orimligt svar. Enligt mitt exceldokument så ska den resulterande reduktionen vara 24dB.
Jag görkanske ett enkelt räknefel?
Nej, du har räknat rätt, och formeln ser ju ut som den gör. Kontrollerar man med bara väggen och det lilla hålet ger formel 38 25 dB och formel 39 44 dB, vilket inte är alldeles förtroendeingivande. Vilken formel går Excelberäkningen efter?
Hej!
Excelformeln:
=10*LOG(I12/(E12*10^(-E13/10)+F12*10^(-F13/10)+G12*10^(-G13/10)+H12*10^(-H13/10)))

Vad jag kan se i formeln så divideras total area med summan av delareor multiplicerad med 10^ reduktionstalet med minustecken framför. Går det att tolka formeln på det sättet?
Jag kontrollräknade enligt excelformeln och fick svaret 24,45.
Har också kontrollerat i " Akustik och Buller" av Johnny Andersson . Där finns samma formel på sid. 148.
Ja, den formeln är (om I12 är summan av areorna):
Den verkar betydligt bättre än formel 39.