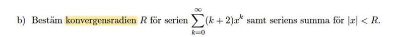
Summan av en serie (konvergens?))

SAMT SERIENS SUMMA... facit;

Är det här något allmänt man gör? för jag försöker hitta något som styrker att det här skulle kunna va till de Alma fallet, men hittar inte vid sökning??
Menar du d'Alembert?
Jag vet inte exakt vad din fråga är. Man behöver lösa det är ett vanligt trick att jämföra med derivatan av .
Jag vet inte om det hjälpte?
Härledningen av är elegant och samma metod är nog användbar huvudsakligen vid serier av potenser och trigonometriska funktioner - hur allmänt man nu vill se det...
( Att strunta i första deluppgiften, bestämma R, är definitivt inte allmänt användbart )
matsC skrev:Härledningen av är elegant och samma metod är nog användbar huvudsakligen vid serier av potenser och trigonometriska funktioner - hur allmänt man nu vill se det...
( Att strunta i första deluppgiften, bestämma R, är definitivt inte allmänt användbart )
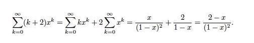
Men vad e det dom gör i det sista steget? alltså:

hela denna
rapidos skrev:Jag vet inte exakt vad din fråga är. Man behöver lösa det är ett vanligt trick att jämföra med derivatan av .
Jag vet inte om det hjälpte?
Men vad e det dom gör i det sista steget? alltså:

hela denna
Tänk efter första ledet, sen byter du summationsordningen och får andra ledet. De två resulterande summorna är ju den ena den som de löste tidigare och den andra 'välkänd'.