1
svar
165
visningar
Summan av serier
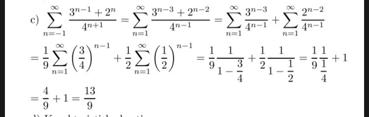
På andra raden av nedanstående ekvation får de fram 1/9 på ena summan och 1/2 på den andra summan. Hur tänkte de?
. Kan du göra något liknande för att få ut 1/2? :)