Summor
Jag känner att jag har ingen bra strategi att ta mig an summor. Jag har kollat på Youtube klipp från Jonas Månsson och de tycker jag mig fatta, men så fort de kommer en fråga så fattar jag ändå inte. Här är en fråga där facit säger att summan 1/n^2 är konvergent, men jag skulle inte kunna "säga" det eftersom jag inte kan se att den är det. Så jag skulle vilja ha hjälp med :
*Att bevisa att den är konvergent
*Hur jag ska tänka när det kommer liknande frågor. (I boken finns det en del standardutv, men det är svårt för mig att komma ihåg pga funktionshinder, jag måste hitta strategier istället)


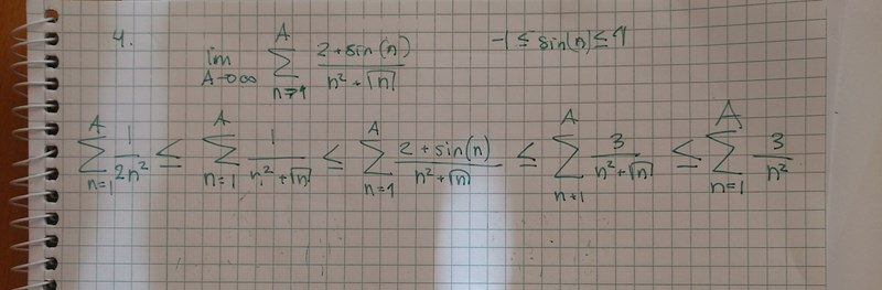
Konvergenskriterier för positiva serier. Känns p-serier igen:

I ditt fall är p=2 så är konvergent.
Man använder p-serier ofta i samband med konvergenskriterier, kanske speciellt jämförelsekriterier.
För positiva serier gäller

I det praktiska räknandet måste man göra mer eller mindre raffinerade uppskattningar
(t ex ditt exempel från Jonas M),så vi kan nyttja något kriterium.
dr_lund skrev:Konvergenskriterier för positiva serier. Känns p-serier igen:
I ditt fall är p=2 så är konvergent.
Man använder p-serier ofta i samband med konvergenskriterier, kanske speciellt jämförelsekriterier.
För positiva serier gäller
I det praktiska räknandet måste man göra mer eller mindre raffinerade uppskattningar
(t ex ditt exempel från Jonas M),så vi kan nyttja något kriterium.
Tack! Var har du hittat denna informationen? Den är "lättläst" och jag hade gärna velat läsa på mer och tänker att det kanske finns mer som hade varit bra för mig att läsa på.
För att bevisa att summan av 1/n^2-termer konvergerar kan du göra ett integraltest: https://sv.wikipedia.org/wiki/Cauchys_integralkriterium
Den engelska sidan är (som vanligt) lite mer utförlig, och visar även en bild som ger lite intuition (bilden visar dock det omvända fallet, där metoden används för att visa en divergens): https://en.wikipedia.org/wiki/Integral_test_for_convergence
Idén är att jämföra summan med en integral:
Om man representerar summan som en summa av rektangelareor kan man se att alla dessa rektanglar (utom första, i det här fallet, men det gör ingen skillnad för resonemanget) får plats under kurvan som integreras. Integralen kan beräknas till 1, och summan av rektanglar under kurvan är alltså strikt mindre, så den summan måste också konvergera.
För att göra resonemanget behövde vi skippa första rektangeln, men den har ju också en begränsad yta. Så vi ändrar inte slutsatsen "konvergent" genom att addera tillbaks den.