2
svar
134
visningar
Sar_ah behöver inte mer hjälp
Summor

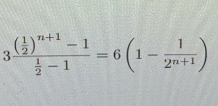
Hej! Jag håller på med en uppgift om beräkning av summor och jag förstår inte hur jag går från VL till HL i bilden ovan. Bilden visar svaret och jag kommer fram till VL men fastnar på hur jag går Vidare till slutliga svaret vilket är HL.
Om någon skulle kunna förklara lite snabbt vad det är som har gjorts för att få HL så skulle jag uppskatta det. Tack!
Du är ju färdig: Nämnaren blir -1/2; förläng med (-2) och allt är klar!
Guuuben skrev:Du är ju färdig: Nämnaren blir -1/2; förläng med (-2) och allt är klar!
yes, jag hittade felet precis, slarvfel som gjorde att jag fick fel hela tiden. tack för hjälpen!