Superposition
Hej!
Har fått en uppgift som jag fastnat på. Förstår min inte riktig på hur man ska lösa det.
Man ska få reda på Vr1. Vilket ska bli 1.33V.
Men jag få alltid för mycket eller för lite. så känns som jag verkligen är ute och cyklar i denna uppgiften haha
Skulle gärna uppskata om någon kan förklara hur man löser det.
Tacksam för allt svar och hjälp!

Välkommen till Pluggakuten!
Ta och räkna ut strömmen genom R1 med en källa i taget. Summera dem sedan men håll reda på riktningarna.
Tänk på att strömkällan räknas som avbrott (när du räknar på bidrag från spänningskällan) samt att spänningskällan kortsluts (när du räknar på bidraget från strömkällan).
ThomasN skrev:Välkommen till Pluggakuten!
Ta och räkna ut strömmen genom R1 med en källa i taget. Summera dem sedan men håll reda på riktningarna.
Det är där jag har fastnat på. Vet inte riktigt hur man ska räkna ut det.
Tar man R3+R4 och Sedan tar man R34//R1
Och efter det R134/(R134+R2) * Vs för att få redan på spänningen vid R134.
Eller är jag helt ute och cyklar?
För det är R4 som strular till det för mig då jag inte vet exakt vad jag ska göra med det
Tack!
D4NIEL skrev:Tänk på att strömkällan räknas som avbrott (när du räknar på bidrag från spänningskällan) samt att spänningskällan kortsluts (när du räknar på bidraget från strömkällan).
Aa det tror jag att jag har förstått. Då att de räknas lite på olika sätt beroende på om det är en spänningskälla eller strömkälla?
Tar man R3+R4 och Sedan tar man R34//R1
Och efter det R134/(R134+R2) * Vs för att få redan på spänningen vid R134.
Det stämmer bra.
Beräkna VR1 för de här två fallen.


ThomasN skrev:
Tar man R3+R4 och Sedan tar man R34//R1
Och efter det R134/(R134+R2) * Vs för att få redan på spänningen vid R134.
Det stämmer bra.
Vad bra att jag gjorde den delen rätt iallafall haha :)
Hur gör jag om jag ska få reda på strömmen med Is? Är det nästan på samma sätt men tvärtom.
Då R1+R4, sedan R14//R3.
och sedan R143/(R143+R2) * Is för att få reda på strömmen?
För tror nog där gör jag fel med tanke på att det inte kortsluter sig som spänningen
Halva jobbet gjort, halva kvar :-)
R14 är inte parallella med R3 när spänningskällan kortsluts. Se Jan Ragnars utmärkta bilder.
Ett tips: rita om det övre schemat lite så ser du att R1//R2 och R4//(R3+R1//R2).
Det går att göra på två sätt. Att köra med strömdelning och få ett bidrag till VR1 = IR1 * R1.
Eller räkna ut spänningen över strömkällan och sedan köra med spänningsdelning.
ThomasN skrev:Halva jobbet gjort, halva kvar :-)
R14 är inte parallella med R3 när spänningskällan kortsluts. Se Jan Ragnars utmärkta bilder.
Ett tips: rita om det övre schemat lite så ser du att R1//R2 och R4//(R3+R1//R2).Det går att göra på två sätt. Att köra med strömdelning och få ett bidrag till VR1 = IR1 * R1.
Eller räkna ut spänningen över strömkällan och sedan köra med spänningsdelning.
Ah okej. Det var de jag gjorde fel med strömdelen.
Får nog störa dig med förhoppningsvis bara en fråga till haha.
Men när jag försöker sätta in allt och få fram ett svar. så blir det fortfarande fel... :/
Har ritat upp kretsen så att det liknar R1//R2 och R4//(R3+R1//R2). Men tror inte jag har fått in hur man ska lösa det för att få ut IR1.
Har gjort några enklare superpositions uppgifter för att se om jag faktiskt fattar det. Och har löst de men denna är den enda kluriga för mig haha. Har svårt att släppa den uppgiften för vill fatta hur man gör
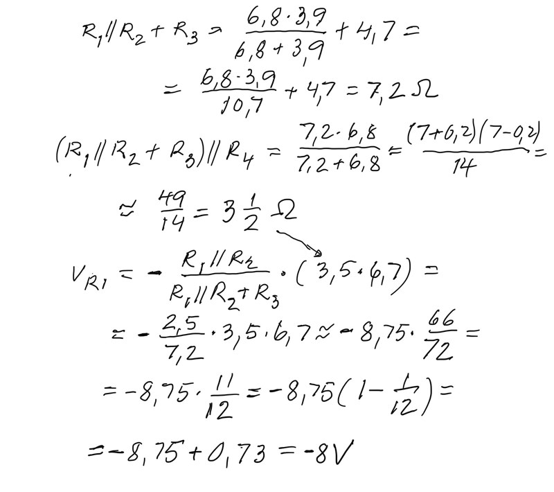
Bifogar beräkningar på spänningsbidrag från strömkällan.

Jan Ragnar skrev:Bifogar beräkningar på spänningsbidrag från strömkällan.
Tack så mycket!
förstår nu hur det ska skrivas :)