1
svar
115
visningar
Superposition
Hej. Jag har en liten fundering till uppgift 1b. Bifogar formuleringen här:

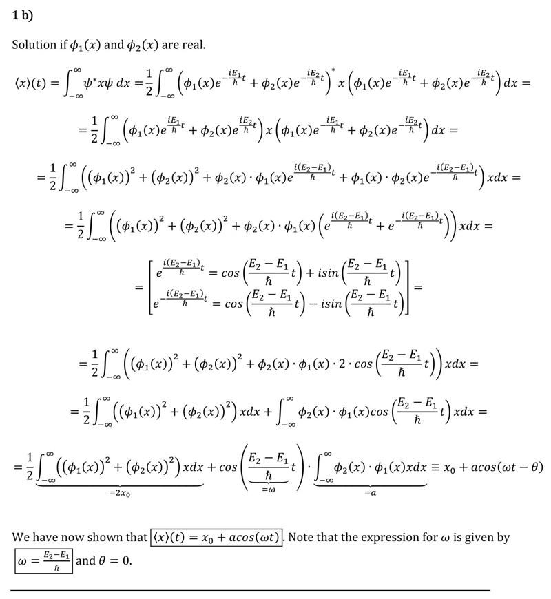
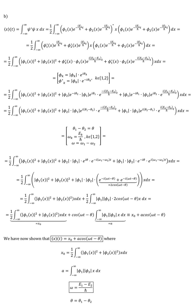
Jag lyckas lösa uppgiften om jag antar att egenfunktionerna Φ1 och Φ2 är reella. Men då har jag även försökt lösa uppgiften med en annorlunda ansats eftersom att jag inte utan argument kan anta att egenfunktionerna är reella. Men när jag antar att de är komplexa kommer jag inte vidare. Jag misstänker att jag borde kunna lösa uppgiften på det här sättet men ser inte hur. Bifogar de båda lösningsförslagen här:
-1.jpg?width=800&upscale=false)
-2.jpg?width=800&upscale=false)
Uppskattar all hjälp jag kan få.
Nevermind löste dilemmat på egen hand :-) 