Svängande vikt fjäder
Detta är fysikuppgiften jag inte kan räkna, behöver hjälp med att fortsätta på den.
En 500 g:s vikt upphängdes i en fjäder. När vikten oscillerade i vertikal riktning i ändan av fjädern, bestämdes dess läge som funktion av tiden med en ultraljudsgivare (se figuren). När oscillationen hade upphört lösgjordes vikten. Hur mycket förkortades fjädern då?

[6 H98]
Svar: 0,36 m
Jag tänkte att jag först skulle bestämma svängningens amplitud och period och från det räkna ut massan samt fjäderkonstanten, låter detta rimligt eller gör jag fel?
Om du vet massan och fjäderkonstanten så kan du beräkna förlängningen av fjädern till följd av en statiskt hängande vikt via Hookes lag
F = k x
F: dragande kraften på fjädern, k fjäderkonstanten, x förlängningen av fjädern till följd av den dragande kraften
Så ja det låter som en rimlig strategi.
Massan: 500 g
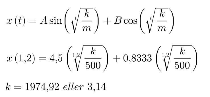
Ampituden: 4,5 (rutor) m
Frekvens: f=1/T=1/1,2=0,8333...Hz
Periorden: T=1,2 sek
F=kx
F: dragande kraften på fjädern
k=fjäder konstanten
x=förlängningen av fjädern till följd av den dragande kraften
Hur skall jag räkna ut Hookes lag från detta?
Om du inte bryr dig om fasen, räcker det att titta på den ena termen. Du vet A, t och m, så du kan beräkna k.
Jag får svaren till k:

Men det verkar lite underligt, vad har jag räknat fel?
Äsch, den här formeln är bättre: Då har vi inte med något onödigt, typ trigonometriska funktioner.
Är det rätt att ta ?
m = 0.5kg
Tack, skall man sedan räkna ut fjäderkonstanten så kan du beräkna förlängningen av fjädern till följd av en statisk hängande vikt via Hookes lag F=kx?