Svängning

Mitt felaktiga försök,

Jag vet inte vad jag gör för fel, men uppenbarligen gör jag det då jag får fel svar. Hur kan svaret bli 1.5 Hz?
Du har (helt korrekt) vilken frekvens tonen borde ha (och som den har på t ex en fiol), men på ett piano har tonen lite felaktig frekvens och har en frekvens som är (och inte . Vilken frekvens har "piano-"?
Egentligen borde både den andra övertonen till 440 Hz och den första övertonen till 660 Hz ha samma frekvens, men piano-e har inte exakt 660 Hz.
Den har väl i princip också 660 Hz? (För piano e^2) Då man multiplicerar med 1,4983 istället för 1,5? Svängningen blir ungefär 220 Hz?
Moderator Smaragdalena, håller du med mig?
Plopp99, vänta åtminstone 24 timmqar innan du bumpar din tråd. /moderator
Nej, 220 Hz är a en oktav under ettstrukna a.
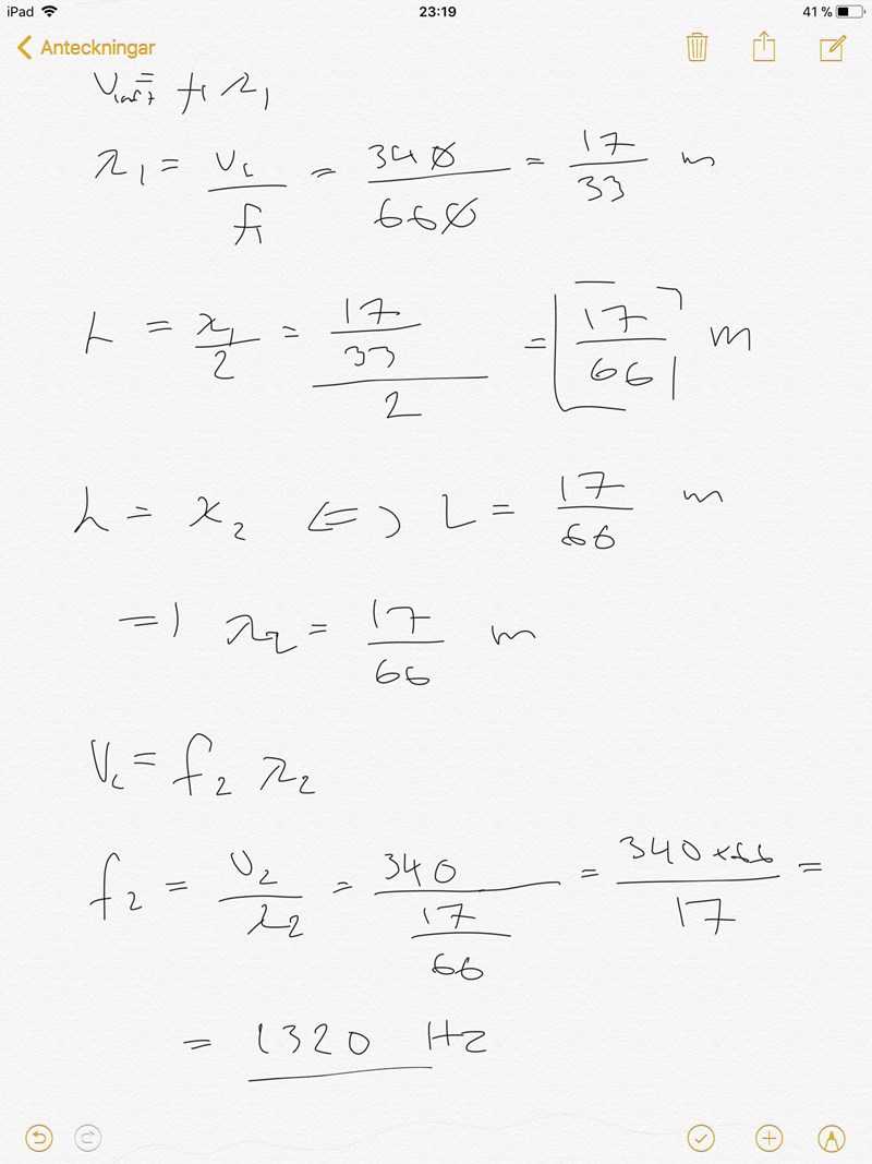
Vilken frekvens har den andra övertonen till 440 Hz?
Vilken frekvens har den första övertonen till 660 Hz?
Vilken frekvens har den första övertonen till 1,4943*440 Hz?
Smaragdalena, jag ska vänta åtminstone 24 timmar innan jag bumpar min tråd. /användare
Jag vet inte vad en oktav eller ettstruket a är, borde jag kunna det här från Fysik 2 eller 3? Vi skippade t.o.m. svängningar så läste till det själv.
”Vilken frekvens har den andra övertonen till 440 Hz?”
Ses piano strängar som gittarsträngar? L=Lambda/2, stängd pipa, noder i ändarna? V=f*lambda, vi vet v och f, kan få lambda, kan få L. Strängen är lika lång, andra övertonen, lägger vi till två lambda/2, vi är uppe i L=3*lambda/2, kan få lambda, har v, kan få f.
”Vilken frekvens har den första övertonen till 660 Hz?”
Samma procedur som i förra frågan.
”Vilken frekvens har den första övertonen till 1,4943*440 Hz? Samma prodecur som i första fråga.
Kan du svara på de tre frågorna:
Vilken frekvens har den andra övertonen till 440 Hz?
Vilken frekvens har den första övertonen till 660 Hz?
Vilken frekvens har den första övertonen till 1,4943*440 Hz?
Svaren skall vara i enheten Hz.

Visst, Smaragdalena. Jag förstår inte meningen med det men jag litar fullkomligt på dig.
1. 1320 Hz.
2. 1320 Hz.
3. Mindre än 1320 Hz.
Beräkningar,





Med hur många Hz avviker svaret från fråga 3 från den "rätta" frekvensen?
Hur ska jag beräkna det? Uppställning eller? (Ingen miniräknare tillåten).
En så väsentlig upplysning vore det bra att få veta. Då formulerar jag det så här: Är skillnaden mellan 1320 och övertonen från e2 på pianot: A. 0,24 Hz B. 0,37 Hz C. 1,5 Hz D. 220 Hz. Det borde gå att uppskatta även utan miniräknare.
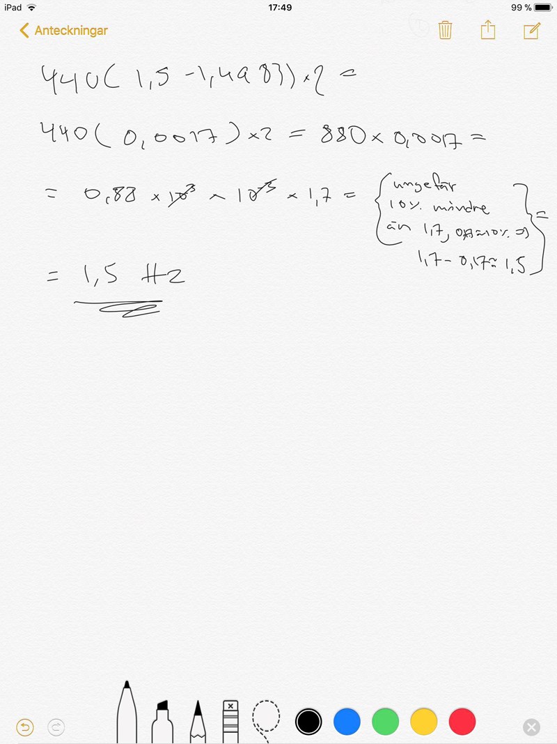
Vill du räkna ut frekvensskillnaden blir det 440*(1,5-1,4983)*2. Förenkla och gör att överslag.

Absolut! Jag fick fram ungefär 1,5 Hz. Men moderator Smaragdalena, skulle du kunna förklara för mig varför jag gjort alla dessa beräkningar? Hur kom du fram till metoden som du använde för att läsa uppgiften?
Nu har jag förmånen att ha spelat instrument så länge jag kan minnas (nästan), och det underlättar väldigt mycket när man sysslar med akustik.
Exempelvis vet jag vad en kvint är, så jag vet att en ren kvint har en frekvens som är 1,5 gånger frekvensen för den ton jag utgår ifrån (fast det står ju att den ferekvensen är 3/2 gånger den lägre tonen, så det är ingen nödvändig förkunskap). Jag vet också att svävning uppkommer när två olika toner (exempelvis övertoner) har nästan samma frekvens, men inte riktigt. Siffrorna i uppgiften säger mig att 3*440 Hz = 2*660 Hz, så jag vet var jag skall leta.
Tonen e1 på pianot har inte riktigt frekvensen 1,5*440 Hz = 660 Hz, utan 1,4983*440 Hz. Då blir den första övertonen inte 2*660 Hz utan 2*1,4983*440 Hz. Jag vet att det är den där lilla skillnaden som gör att det svävar (man använde sig av just den effekten när man stämde en gitarr innan man hade elektroniska stämapparaqter). 1,5-1,4983 är hyfsat lätt att räkna ut (det blir 0,0017) och det är inte heller så svårt att multiplicera det med 1320, i alla fall inte att avgöra vilket av alternativen som är det rätta.
Är det här svar på dina frågor?
Ja, en del men inte alla. Dessa frågor nedan ser ut som många, vilka de också är men jag är innerligt intresserad av att lära mig det här ordentligt. Förmodlingen så besvarar ett svar flera av frågorna på samma gång.
- Vad menas att en ton standardiseras till en viss frekvens? En viss frekvens på vilket instrument?
- I uppgiften står det: ”På ett piano är alltså tonen e^(2) en faktor 2^(7/12) ungefär 1.4983 högre än a^(1). Om tonerna a upphöjt i 1 och e upphöjt i två spelas samtidigt på ett piano upplevs ’sväningar’, dvs. periodiska variationer i ljudstyrka. Vilken frekvens has dessa svägningar?” Vilken ton är i detta fallet a upphöjt i ett? Om a1 generellt sätt är 440, och här är e upphöjt i två 1,4983 gånger större än a upphöjt i ett, varför kan man inte ta skillnaden mellan deras frekvens?
- Siffrorna i uppgiften säger dig att 3*a^(1) =2*e^(2). Alltså, tredje deltonen för a^(1)= andra deltonen för e^(2). Visst, detta sambandet ser jag också när jag väl tänker på det, men varför skulle du tänka på det från första början? Vad exakt menar du när du säger ”så jag vet var jag ska leta?” leta efter vad?
- Måste frekvensen av ljudet som man vill beräkna en skillnad mellan, befinna sig i samma delton? Hur vet jag om dom gör eller inte gör det från början? Varför subtraherar du 1.5 med 1,4983? Varför multiplicerar du 1320? Vi multiplicerade med 880?
1. Det viktiga är att alla instrument i en orkester är stämda efter samma tin. Det vanligaste är att man stämmer så att ettstrukna a är 440 Hz (men den orkestern jag spelar i stämmer efter 442 Hz bara för att vår dirigent vill det). Hur många Hz tonen a1 är har också varierat (lite) genom tiderna.
2. För att det skall bli en svävning krävs det att skillnaden i frekvens mellan två toner är ligen, kanske max 5 Hz. Det är alltså inte själva tonerna a1 och e2 som "skär sig", utan en ton som borde vara en gemensam överton men bara nästan är det (eftersom kvinten inte är ren).
3. Leta efter en överton som skulle vara gemensam för a1 och e2 om kvinten hade varit ren.
4. Hela problemet har egentligen sin grund i det som kallas tempererad liksvävande stämning. Om man stämmer ett instrument så att det klingar rent i t ex C-dur, kommer det att låta förfärligt i t ex H-dur. För att komma runt detta brukar man stämma t ex pianon så att alla halvtoner är lika stora - det borde de egentligen inte vara om stämningen skall vara ren. Fördelen med detta är att pianot låter lka bra i alla tonarter.Priset man får betala för detta är att t ex frekvensen för e2 inte är 1,5*440 Hz = 660 Hz som den borde, utan 659,252 Hz. Den första övertonen till e2 blir alltså inte 1320 Hz, som den borde (2*660, alltså) (och därmed exakt samma frekvens som den andra övertonen till a1) utan 1318,5 Hz, alltså 1,5 Hz för låg. Nu använde jag räknareför att få fram frekvenserna 659,25 respektive 1318,5, men om jag inte hade haft räknare hade det varit enklare att beräkna så som jag gjorde tidigare.
Tonen med frekvensen 880 Hz har vi inte haft någon nytta av alls.
Tack så hjärtligt mycket!