Svängningar
Hur många gånger passeras jämviktsläget i respektive fall?
vet ej hur jag ska komma fram till det.
Mellan varje gång jämviktsläget passeras måste det finnas en vändpunkt. I vändpunkten är derivatan...
Kommer du vidare?
0 för där har kurvan ingen lutning?
Just det. Kommer du vidare?
Derivera funktionen, sätt den lika med noll och lös ut t?
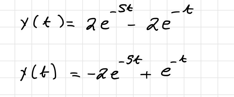
Står det ?
Enklast är väl att rita funktionen.
Pieter Kuiper skrev:Står det ?
Enklast är väl att rita funktionen.
Ja, om man får använda digitala hjälpmedel, annars är det inte så lätt att rita upp funktionen.
Tack för hjälpen!
Smaragdalena skrev:Pieter Kuiper skrev:Står det ?
Enklast är väl att rita funktionen.Ja, om man får använda digitala hjälpmedel, annars är det inte så lätt att rita upp funktionen.
Det är lätt rita termerna för sig, man vet , man vet att termerna går till noll när t är stor, så det går med papper och penna.
Dessutom, om man har Pluggakuten har man även Google:
Att rita med papper och penna hur ska jag göra då?
+ jag har försökt rita det med grafräknare men lyckades inte…
Tack på förhand
noa9 skrev:Att rita med papper och penna hur ska jag göra då?
Som jag visade: skissa grafer av termerna var för sig.
Funktionen har nollpunkt där termerna är lika stora, alltså vid t ≈ 0,17.
Försöker verkligen förstå ..
noa9 skrev:Försöker verkligen förstå ..
Den första funktionen har uppenbart bara en nollpunkt vid t=0, passerar inte jämviktsläge efter det, så den har jag inte tittat på.
Jag tittade bara på den andra funktionen. Den börjar med ett värde y(t=0) = -2 + 1 = -1. Den första termen som är negativ blir snabbt liten i jämförelse med den andra termen, så funktionen blir positiv innan den går asymptotiskt mot noll. Så funktionen passerar jämviktsläge en gång. Med en skiss ser man snabbt att det sker lite innan t=0,2 där båda termer är lika stora.
Nu fattar jag!:D tack.