svängningstiden i kvadrat T2 (s2) som funktion av pendellängden l (m)
Hej alla!
Jag har två frågor, först hur kan jag bestämma ett exakt värde på en linjens lutning?
Nästa frågan är, vad innebär det för hur man skapar matematiska modeller i fysik?
Jag måste beräkna lutningen z för trendlinjen i diagrammet nedan och jag har gjort så här:


Men om ni tittar i diagrammet ser ni att linjens ekvation är y=3.9777x +0.1123 som innebär att lutningen har värdet på 3,98 detta värdet har bestämts av programmet som ja använder (pages). Så vilket värdet är mer exakt? som jag själv har beräknat eller som programmet har beräknat?
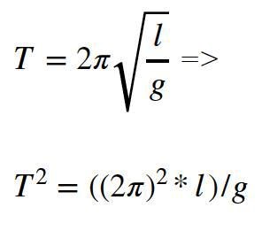
Jag svarat på nästa frågan att man skapar matematiska modeller i fysik för att använda dessa modeller i verkligheten. Så med hjälp av mitt diagram och denna formel kunde jag beräkna tyngdaccelerationen g.
Stämmer mitt svar, eller tänker jag rätt?
Jag räknade ut g på detta sätt:


Ni ser att jag har använt lutningen som jag har beräknat, är det rätt?
Alexa skrev:Hej alla!
Jag har två frågor, först hur kan jag bestämma ett exakt värde på en linjens lutning?
[...]
Men om ni tittar i diagrammet ser ni att linjens ekvation är y=3.9777x +0.1123 som innebär att lutningen har värdet på 3,98 detta värdet har bestämts av programmet som ja använder (pages). Så vilket värdet är mer exakt? som jag själv har beräknat eller som programmet har beräknat?
[...]
Ni ser att jag har använt lutningen som jag har beräknat, är det rätt?
Svar 1: 3,9777 är ett bättre närmevärde till linjens lutning än 4.
Detta beror på att ditt framräknade värde endast använder 2 mätpunkter och det av programmet beräknade värdet använder alla 5 mätpunkterna plus en smart algoritm.
Svar 2: Du har räknat rätt.
Snälla kan nån svara på denna fråga, vad innebär det för hur man skapar matematiska modeller i fysik?
Jag har läst att matematiska modeller är uttryck eller illustration på grundläggande principer som man hittar utifrån experiment eller observationer, stämmer det?
Tack på förhand !
Alexa skrev:Snälla kan nån svara på denna fråga, vad innebär det för hur man skapar matematiska modeller i fysik?
Jag har läst att matematiska modeller är uttryck eller illustration på grundläggande principer som man hittar utifrån experiment eller observationer, stämmer det?
Tack på förhand !
Jag förstår inte vad som efterfrågas, kan du ladda upp en bild på hela frågan?
Yngve skrev:Alexa skrev:Snälla kan nån svara på denna fråga, vad innebär det för hur man skapar matematiska modeller i fysik?
Jag har läst att matematiska modeller är uttryck eller illustration på grundläggande principer som man hittar utifrån experiment eller observationer, stämmer det?
Tack på förhand !
Jag förstår inte vad som efterfrågas, kan du ladda upp en bild på hela frågan?
Det finns ingen bild på frågan, det är ju hela frågan. Jag själv har inte förstått den.
Det finns ingen bild på frågan, det är ju hela frågan. Jag själv har inte förstått den.
Betyder det att du har fått frågan muntligt? Annars borde du kunna ta en bild av själva frågan och ladda upp den.
Smaragdalena skrev:Det finns ingen bild på frågan, det är ju hela frågan. Jag själv har inte förstått den.
Betyder det att du har fått frågan muntligt? Annars borde du kunna ta en bild av själva frågan och ladda upp den.
Ja precis, min lärare sagt till mig att jag måste fundera på den har frågan innan provet.
Alexa skrev:
Ja precis, min lärare sagt till mig att jag måste fundera på den har frågan innan provet.
Frågan lyder alltså "Vad innebär det för hur man skapar matematiska modeller i fysik?"
Vilket "det"? Vad är det som avses?