9 svar
81 visningar
KlmJan behöver inte mer hjälp
KlmJan 1474
Postad: 13 feb 16:08

Svår ekvation

Hej!

Hade behövt lite hjälp med att lösa följande andragradsekvation:

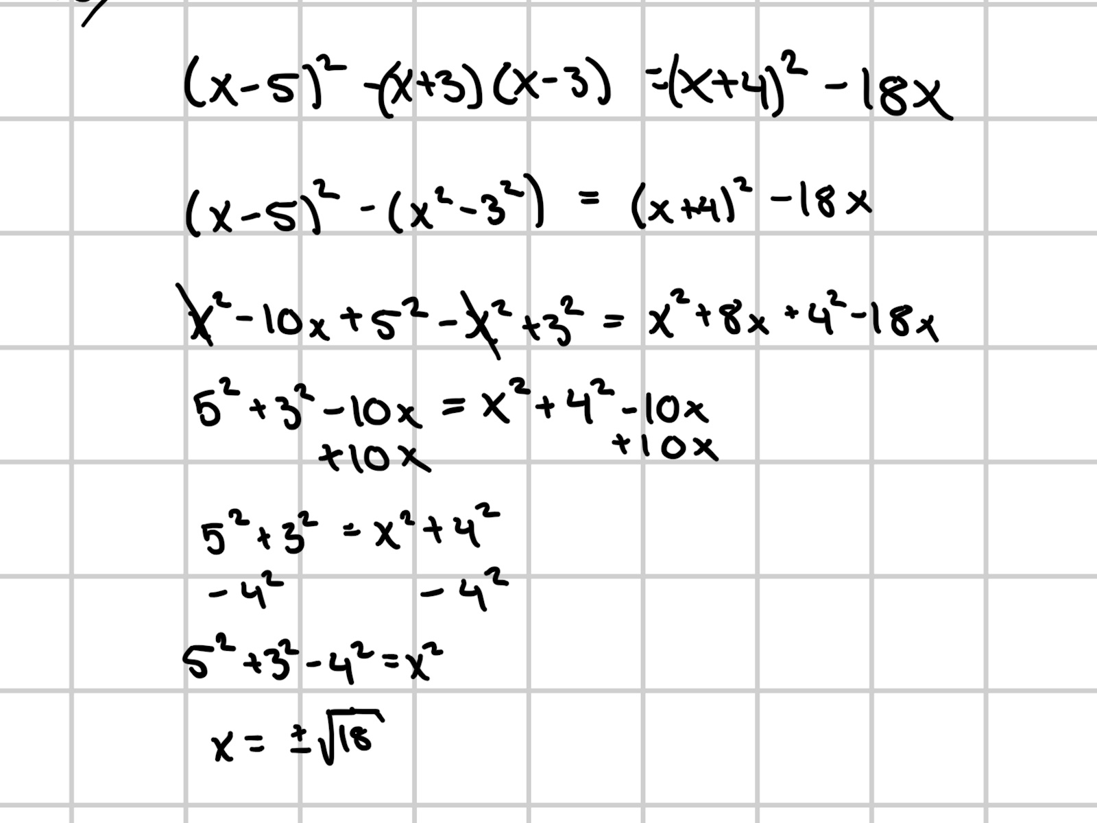
(X-5)2-(x+3)(x-3)=(x+4)2-18x

Jag har försökt några gånger men det är alltid mot slutet jag lyckas förvirra mig själv. 

Min tanke var att öppna upp alla parenteser och först förenkla ekvationen så långt det gick. Jag fock på det viset bort alla x-termer. Jag får känslan av att jag gör något fel mot slutet, men kan inte sätta fingret på exakt vad. 

Tacksam för all hjälp :)

Bubo 8109
Postad: 13 feb 16:23

Jag tycker att det ser rätt ut från början till slut. 

AlexMu 1104
Postad: 13 feb 16:31

Jag instämmer. Svaret är rätt och processen ser också rätt ut. Vart tror du känslan att du gjort något fel kom ifrån? 

KlmJan 1474
Postad: 13 feb 16:32

Här är vad som står i facit och jag har inte hittat något på nätet om att det ska ha varit fel. Förstår heller inte hur det uttrycket skulle kunna skrivas om till det jag fick det till. Nu har jag också kvadrupelkollat så jag inte läst något i uppgiften fel och det har jag heller inte så vet inte vad jag missar. 

KlmJan 1474
Postad: 13 feb 16:33
AlexMu skrev:

Jag instämmer. Svaret är rätt och processen ser också rätt ut. Vart tror du känslan att du gjort något fel kom ifrån? 

Den kom ifrån att jag fick ett svar som inte var vad som stod i facit😅

AlexMu 1104
Postad: 13 feb 16:33

Svaren är densamma (testa att kvadrera 323\sqrt 2), alternativt, notera att 18=2·3218 = 2\cdot 3^2.
Då gäller det att 18=2·32=2·32=32\sqrt{18} = \sqrt{2 \cdot 3^2} = \sqrt{2}\cdot \sqrt{3^2} = 3\sqrt 2

KlmJan 1474
Postad: 13 feb 16:35

Oj, att jag inte tänkte på det viset. Det var ett litet tag sedan man räknade matte nu haha

Men då vet jag! Tack snälla för hjälpen :)

AlexMu 1104
Postad: 13 feb 16:37

Super!

Jag tror båda svar bör vara ok om de inte skriver något som "förenkla så långt som möjligt". 

KlmJan 1474
Postad: 13 feb 16:40

Just denna gången stod det inget i den stilen. Men om det skulle göra det är facits svar rätt eftersom att det är mer förenklar än det jag kom fram till?

AlexMu 1104
Postad: 13 feb 16:48 Redigerad: 13 feb 16:53

Jag tycker facits svar är mer förenklat, men "förenklat så långt som möjligt" är också otroligt subjektivt.

Exempelvis gäller det att 12=22\frac{1}{\sqrt 2} = \frac{\sqrt 2}{2}. Jag tycker vänsterledet "ser snyggare" ut och jag föredrar att svara med det. Däremot är det generellt lättare att räkna med uttrycket i högerledet och jag vet inte vad man ska anse är "mest förenklat". 

På liknande sätt kanske man föredrar att ha n\sqrt{n} för då vet man direkt att kvadraten blir nn. Om man istället hade faktoriserat ut några faktorer, som facit gör, blir det inte längre direkt uppenbart vad kvadraten blir (men kanske lättare att få ett hum om vad roten har för ungefärligt värde. Exempelvis kanske man vet att 21.414\sqrt 2 \approx 1.414 och då får man direkt att 18=324.242\sqrt{18} = 3\sqrt{2} \approx 4.242, vilket kanske är svårare att direkt se från 18\sqrt{18})

Jag tror att båda är ok, men jag skulle svara med att faktorisera ut, om det går. 

Svara
Close