Svår uppgift rörelse i fält
Hej,
Är det någon som kan hjälpa mig med denna uppgift? hur ska man börja? Jag tänker att man ska hantera uppgiften som ett snett kast men får inte till det riktigt.
Gäller uppgift 22

ljungan01 skrev:Hej,
Är det någon som kan hjälpa mig med denna uppgift? hur ska man börja? Jag tänker att man ska hantera uppgiften som ett snett kast men får inte till det riktigt.
Gäller uppgift 22
Bilden syns inte.
Smaragdalena skrev:ljungan01 skrev:Hej,
Är det någon som kan hjälpa mig med denna uppgift? hur ska man börja? Jag tänker att man ska hantera uppgiften som ett snett kast men får inte till det riktigt.
Gäller uppgift 22
Bilden syns inte.
Ser man nu?
ljungan01 skrev:
Jag tänker att man ska hantera uppgiften som ett snett kast men får inte till det riktigt.
Ja precis!
Visa vad du gjorde.
Pieter Kuiper skrev:ljungan01 skrev:
Jag tänker att man ska hantera uppgiften som ett snett kast men får inte till det riktigt.Ja precis!
Visa vad du gjorde.

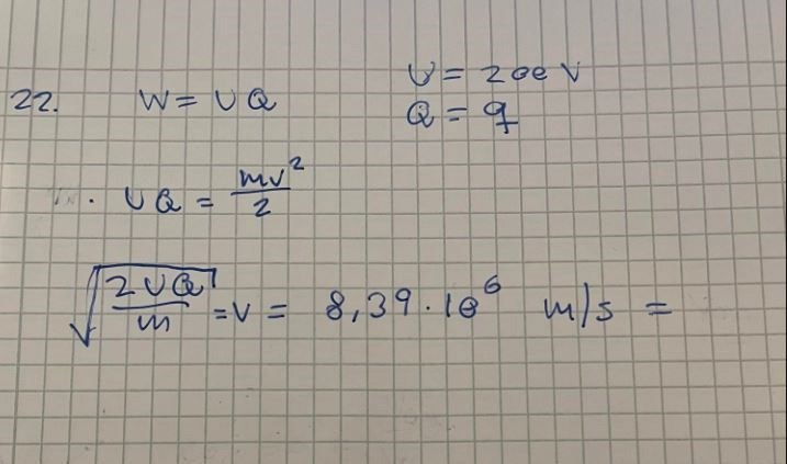
såhär tänkte jag, att energin från fältet blir hastigheten? vet inte om det är rätt att tänka så
Ja, där har du räknat ut hastigheten v0 i figuren om vinkeln med fältets riktning hade varit noll.
Pieter Kuiper skrev:Ja, där har du räknat ut hastigheten v0 i figuren om vinkeln med fältets riktning hade varit noll.
Så det blir hastigheten i yled då?
Pieter Kuiper skrev:Ja.

Då verkar det stämma med facit, men jag förstod inte riktigt varför vy = UQ, kan det inte vara någon annan hastighet också?
Genom
U Q = mv2/2
beräknas hastigheten rakt fram (längs med fältet). I det här fallet är hastigheten längs med fältet i y-riktning.
Vilken hastighet menar du att det annars skulle kunna vara?