Jag rekommenderar att du skriver ut vad du gör mellan de flesta stegen, och vilken regeln som rättfärdigar det steget. Jag gissar på att ibland när du gör fel så kommer du märka att den regeln inte rättfärdigar det steget du gjorde.
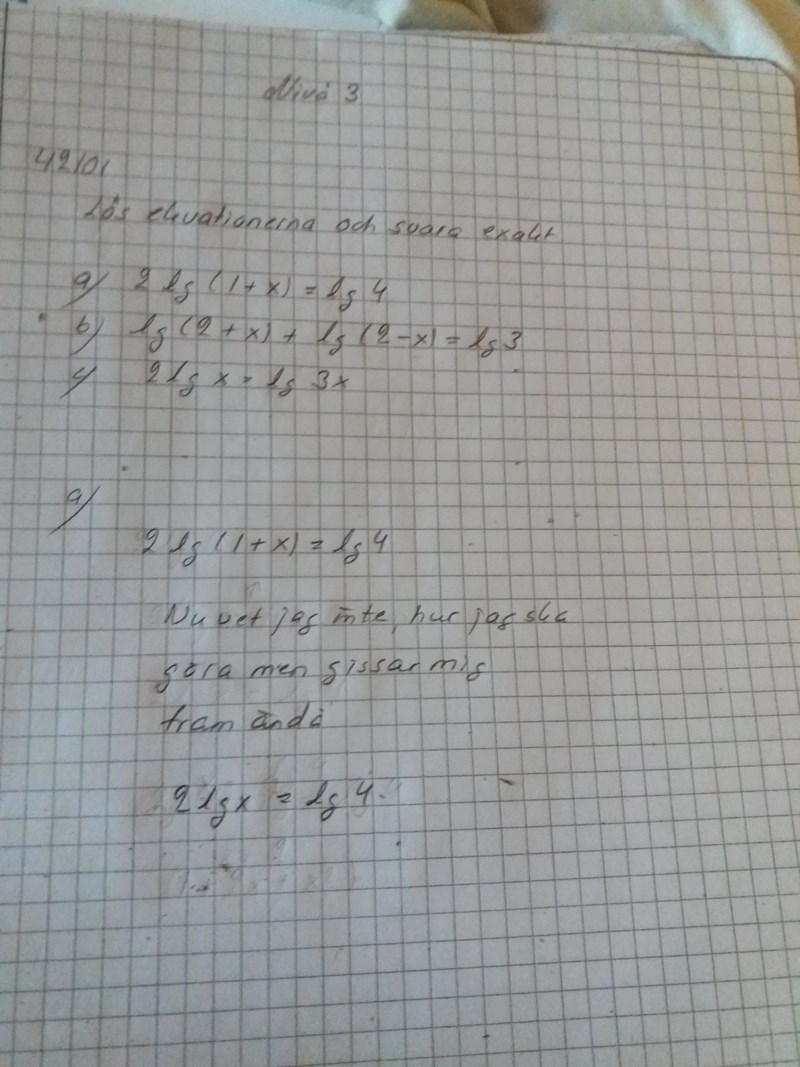
Det första steget för det här problemet är att dividera med två på båda sidorna
Sedan kan du förenkla HL.
Hej
Du kan använda dig av att
jonis10 skrev :Hej
Du kan använda dig av att
Jag var lite inne på din tanke ett tag.
Ja bra, så hur löser du ekvationen ? Tänk på att
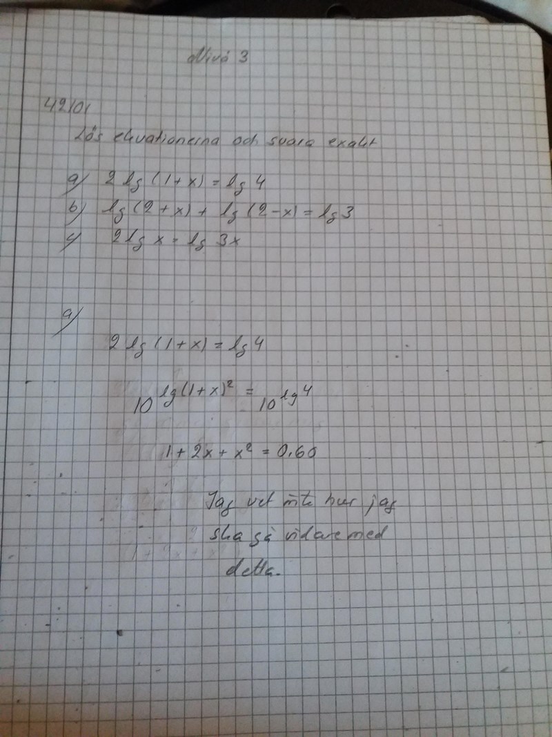
Vänsterledet är korrekt men vad händer med högerledet?
Jag rekommenderar dig att inte börja med att skriva om den som
Detta eftersom det inför falska lösningar i ekvationen. Utan börja med att dividera båda sidorna med 2
Kan du fortsätta härifrån?
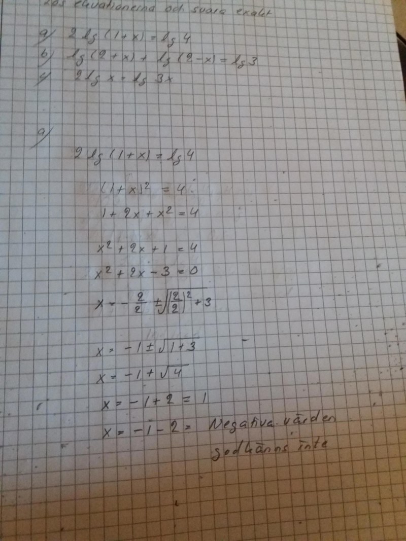
Korrekt, bra jobbat Päivi!
Du kunde slippa gör pq dvs:
Stokastisk skrev :Jag rekommenderar dig att inte börja med att skriva om den som
Detta eftersom det inför falska lösningar i ekvationen. Utan börja med att dividera båda sidorna med 2
Kan du fortsätta härifrån?
Vart försvann 2 från vänster ledet som du dividerade med? Höger ledet förstår jag, men inte vänster ledet.
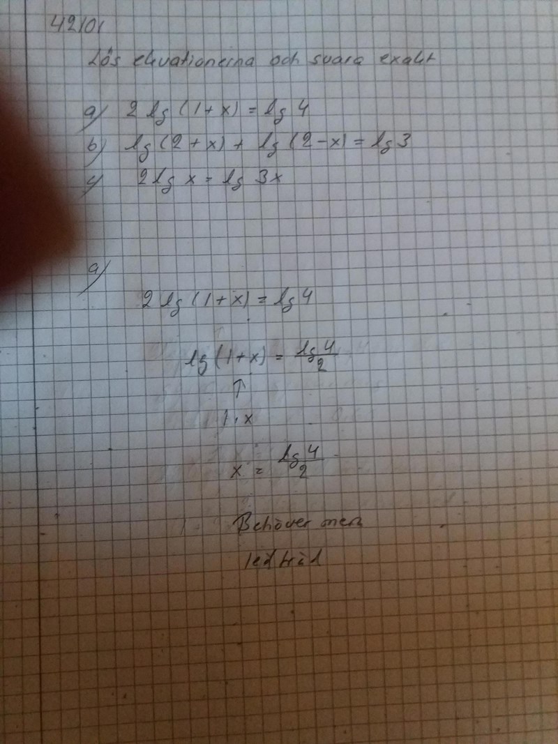
Du har
Dividera båda sidorna med 2 så får du
Nu förstår jag. Tack Stokastisk för detta.



