svara så enkel form som möjligt
Om k hade varit ett känt tal, hur hade du löst ekvationen då? Gör på samma sätt nu, men behåll k som ett okänt tal.
Kan du förenkla det som borde vara under rottecknet? Vad skall det vara för tecken mellan?
Eftersom du har en ekvation på formen:
fast behöver du inte använda pq-formeln alls.
Jag förstår inte
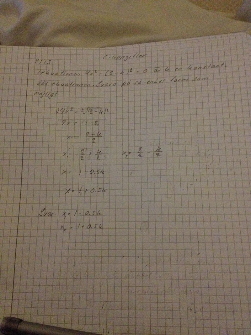
Skriv ekvationen som . Dra roten ur båda led. Glöm inte plusminus! Förenkla.
Det ska jag göra Magdalena!
Päivi skrev :
Nej dra bara roten ur VL och roten ur HL.
Om det skulle stå 4a^2 = b^2, hur skulle du göra då för att ta reda på vad a är?
Det här är samma sak, fast det står x istället för a och (2-k) istället för b.
Päivi skrev :
Ja, fast du har räknat fel. Kontrollera!
Och så har du glömt plusminus-tecknet.
Päivi skrev :
Till att börja med, vad är egentligen?
Yngve skrev :Päivi skrev :Till att börja med, vad är egentligen?
Vad är ?
Päivi skrev :
Nej nu snurrar du till det igen. Det där stämmer inte alls.
Du kan skriva som , alltså kan du skriva som .
Vad är då ?
Päivi skrev :2
Är du allvarlig eller skämtar du med mig?
Tror du verkligen att ?
Nej, jag menar inte så Yngve!
Päivi skrev :
Första raden är rätt
Andra raden är rätt
Tredje raden är fel.
Du vet väl att ?
2 gånger 2 = 4
2.^2= 4
roten ur 4 är 2.
Ja det stämmer.
Du vet väl att ?
Det vet jag.
Det andra är 2x
Yngve skrev :Päivi skrev :Första raden är rätt
Andra raden är rätt
Tredje raden är fel.
Du vet väl att ?
Ursäkta om jag förstör pedagogiken här, men det gäller faktiskt att . Testa för t.ex. .
Då har det med komplexa saker att göra
Päivi skrev :Det vet jag.
Det andra är 2x
Om du med "det andra" menade så är jag nöjd, för du var väldigt envis med att skriva annorlunda.
tomast80 skrev :Ursäkta om jag förstör pedagogiken här, men det gäller faktiskt att . Testa för t.ex. .
Ja. Tack. Jag blev så uppe i det här att jag tappade sansen.
Päivi skrev :Då har det med komplexa saker att göra
Nej. Att har inget med komplexa saker att göra.
Men strunt i det nu. Kan du nu lösa ekvationen ?
Du börjar alltså med att dra roten ur VL och roten ur HL (glöm inte plusminus-tecknet):
Sen då? Kan du gå vidare nu?
Jag ska försöka få den här sidan upp i dator. Bilderna hoppar här. Vänta kort tid.
Päivi skrev :
Ja. Bra.
Pröva nu att du har hittat rätt lösningar.
Se vad x blir för några olika värden på k och verifiera att ekvationen är uppfylld i de fallen.
Päivi skrev :
Nej nu slarvar du igen.
Läs noga igenom alla steg i din uträkning.
Mot slutet blir det fel.
Hittar du det?
Yngve skrev :Päivi skrev :Nej nu slarvar du igen.
Läs noga igenom alla steg i din uträkning.
Mot slutet blir det fel.
Hittar du det?
Det stämmer inte.
Pröva med till exempel k = 1. Vad blir då de två x-värdena?
Kolla om dessa värden på x och k uppfyller grundekvationen.
k =0.5 eller k= -0.5
nu förstår jag inte.
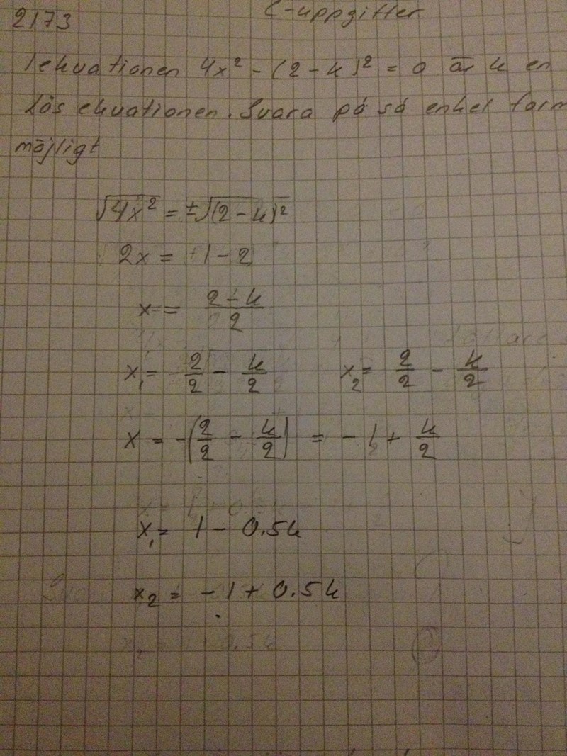
x är plusminus (2-k)/2, så långt är det rätt.
Du gör fel genom att ta plusminus delar av det där uttrycket.
Liknande exempel:
Plusminus (13-2*3+1) är plusminus 8, ingenting annat.
Räkna ut 13-2*3+1 = 8, och ta plusminus det.
Nu har du skrivit samma svar 3 gånger.
Tror du fortfarande att det är rätt?
Då är allting fel
Päivi skrev :Då är allting fel
Jag försöker igen, skam den som ger sig...
x är plusminus (2-k)/2, så långt är det rätt.
Du gör fel genom att ta plusminus delar av det där uttrycket.
Liknande exempel:
Plusminus (13-2*3+1) är plusminus 8, ingenting annat.
Räkna ut 13-2*3+1 = 8, och ta plusminus det.
Ser du skillnaden mellan
plusminus (1-k/2)
och
1 plusminus k/2
?
På vänstersidan är båda lösningarna rätt.
På högersidan är den undre lösningen fel.
Ser du det?

Jag ser felet. Längst ner är fel. Minus tecknet framför ett är fel.
Päivi skrev :Jag ser felet. Längst ner är fel. Minus tecknet framför ett är fel.
Så vad ska svaret vara då?
Men skriv nu inte svaret här innan du har kollat att det stämmer.
Vet du hur du ska göra det?
Tar nytt kort, vad jag har skrivit. Ibland är det svårt kunna skriva från telefonen.
Har du kontrollerat att dina svar stämmer?
Dvs har du
- valt ett par olika enkla värden på k?
- räknat fram vad de två x-värdena då blir?
- satt in dessa värden i grundekvationen och konstaterat att den är uppfylld?
Jag vet inte, hur man kan kontrollera detta,
Jag vet inte om detta hjälper, men den ursprungliga ekvationen kan faktoriseras med konjugatregeln. Då slipper du allt strul med +/- (även om det är bra att få koll på det).
Päivi skrev :Jag vet inte, hur man kan kontrollera detta,
Bra att du säger till Päivi. Det är viktigt att kunna kontrollera sina svar.
När du har löst en ekvation så kan du alltid kontrollera om du fått rätt svar genom att sätta in alla dina lösningar, en i taget, i grundekvationen och verifiera att den är uppfylld, dvs att VL = HL.
Det här gäller alltid, alla ekvationer.
I detta fallet så beror lösningarna på värdet av konstanten k.
Då kan vi välja två vägar:
- Den "rätta" vägen. Vi sätter in de uttryck för x som vi har fått fram i grundekvationen och verifierar att den stämmer. På detta sätt kan vi se att vi har gjort rätt. Ersätt alltså först x med (1 - k/2) i ursprungsekvationen och verifiera att den är uppfylld. Ersätt sedan x med (k/2 -1) i ursprungsekvationen och verifiera att den är uppfylld.
- Den "enklare" vägen: Vi väljer ett par enkla värden på k, räknar fram vad vi då får för x-värden, sätter in dessa x-värden tillsammans med motsvarande k-värde i ekvationen och verifierar att den är uppfylld. Detta ger inte fullständig säkerhet att du har rätt svar, men om ekvationen inte stämmer så vet du iallafall att du har fel svar.
Jag visar här hur du kan kolla via den enklare vägen:
Sätt k = 1. Då blir
Nu prövar vi om ekvationen är uppfylld för :
. Det stämmer
Nu prövar vi om ekvationen är uppfylld för :
. Det stämmer.
Jag lämnar nu åt dig att välja ett annat värde på k och sedan göra samma sak.
Och/eller att använda metod 1, den "rätta" vägenn.
(2+k)(2-k)
4-0,5^2= 3,75
Päivi skrev :(2+k)(2-k)
4-0,5^2= 3,75
Jag förstår inte, kan du förklara vad du har gjort här?
Jag ska nu göra i ordning djuren. Sedan kontrollerar jag det här.
Det var nog jag som ledde in Päivi på konjugatregeln. Det jag menar är
Lös då ekvationen med nollproduktsmetoden.
Nu testade jag med att k =1 och fick det bli till noll Yngve
Dr. G skrev :Det var nog jag som ledde in Päivi på konjugatregeln. Det jag menar är
Lös då ekvationen med nollproduktsmetoden.
Päivi skrev :
Antingen är första faktorn noll:
eller så är andra faktorn noll:
Lös ut i båda fallen, vilket ger:
samt .
Båda ger noll.
Päivi skrev :Båda ger noll.
Vilka lösningar får du då?
tomast80 skrev :Päivi skrev :
Antingen är första faktorn noll:
eller så är andra faktorn noll:
Lös ut i båda fallen, vilket ger:
samt .
x=0,5
x=-0,5
är svaren tomast 80
Päivi skrev :x=0,5
x=-0,5
är svaren tomast 80
Det stämmer om . Vad gäller i det allmänna fallet? D.v.s. och ?
Nu förstår jag inte



