Svårare ekvationslösning med kvadrering

Den här uppgiften gick jag bet på och jag förstår inte den lösning som boken visar.
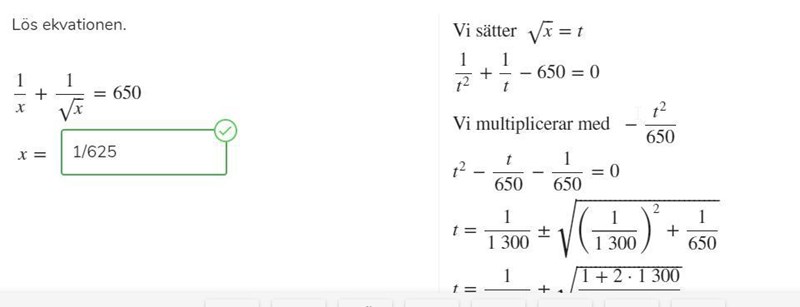
Jag kom bara till steget
1/t^2+1/t-650=0 och sedan tog det tvärstopp. När det står "vi multiplicerar med -t^2/650 förstår jag inte hur jag skall komma fram till det talet, jag gissar på att det är två steg de har satt ihop till ett men det är rena gissningen från min sida. Jag har försökt att först multiplicera alla tal med t^2 och sedan på något vänster få till det andra talet men det blir bara rörigt.
Är det någon sorts regel jag har glömt bort eller någon sorts förenkling som kan göras?
Du kan börja med att multiplicera med t om du vill, då får du ...
, sedan kan du multiplicera med t igen, då får du...
, nu ser du att du ska dela allt med 650, eller hur?
Hänger du med?
Edit: De slog ihop det till ett steg, precis som du sa. Jag multiplicerade med t två gånger och flyttade över det hela så och delade med 650 så det blir netto
Bokens lösning är i mitt tycke opedagogisk då de kastar om
ordningen på termerna samtidigt som de multiplicerar, så här:
Jag skulle istället satt:
Då blir ekvationen:
Tack så hjärtligt för hjälpen! Nu förstår jag hur de kom fram till lösningen, ni är grymma!