Svaret stämmer inte
Hej!
Har gjort en uträkning men jag får det inte att stämma. Ekvationen är x²+3x-10=0. Vart blir det fel? Är ganska säker på vad svaret bör vara (2,-5), och jag är uppenbarligen inte ens i närheten.

Varför gör du om ekvationen till x2 - 1,5x - 5 = 0? Det är en helt annan ekvation.
Laguna skrev:Varför gör du om ekvationen till x2 - 1,5x - 5 = 0? Det är en helt annan ekvation.
För att jag trodde att jag skulle göra så. Hur ska jag göra då?
canna skrev:Laguna skrev:Varför gör du om ekvationen till x2 - 1,5x - 5 = 0? Det är en helt annan ekvation.
För att jag trodde att jag skulle göra så. Hur ska jag göra då?
pq-formeln som du vill använda förutsätter bara att -termen ska stå för sig själv utan någon koefficient framför. Det har du redan där i början, så du behöver inte göra annat än att applicera pq-formeln direkt (med p = 3 och q = 10 -10)
foppa skrev:canna skrev:Laguna skrev:Varför gör du om ekvationen till x2 - 1,5x - 5 = 0? Det är en helt annan ekvation.
För att jag trodde att jag skulle göra så. Hur ska jag göra då?
pq-formeln som du vill använda förutsätter bara att -termen ska stå för sig själv utan någon koefficient framför. Det har du redan där i början, så du behöver inte göra annat än att applicera pq-formeln direkt (med p = 3 och q = 10 -10)
så där? 🤷♀️
Du missar några saker i pq-formeln. Det ska vara minustecken framför p/2, och q ska vara med under rottecknet, och du ska subtrahera q, inte addera (när du subtraherar blir det - (-10), alltså +10).
Laguna skrev:Du missar några saker i pq-formeln. Det ska vara minustecken framför p/2, och q ska vara med under rottecknet, och du ska subtrahera q, inte addera (när du subtraherar blir det - (-10), alltså +10).
Jag hänger inte riktigt med, hur menar du?
En bra vana är att sätta in sin lösning i ursprungsekvationen. Då ser man om man har räknat rätt.
Peter skrev:En bra vana är att sätta in sin lösning i ursprungsekvationen. Då ser man om man har räknat rätt.
Ja precis! men kommer inte fram till rätt lösning, vet redan vad svaret blir, men tar mig inte fram dit.
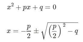
Så här ser pq-formeln ut:

I ditt fall är p = 3 och q = -10
Sätt in siffrorna i formeln, vad får du då?
Observera, att det inte ska vara någon koefficient framför , som foppa skriver. Och det är det inte i detta fall.
canna skrev:Laguna skrev:Du missar några saker i pq-formeln. Det ska vara minustecken framför p/2, och q ska vara med under rottecknet, och du ska subtrahera q, inte addera (när du subtraherar blir det - (-10), alltså +10).
Jag hänger inte riktigt med, hur menar du?
Jag påpekade tre fel. Vilket är du osäker på?
Sten skrev:Så här ser pq-formeln ut:
I ditt fall är p = 3 och q = -10
Sätt in siffrorna i formeln, vad får du då?
Observera, att det inte ska vara någon koefficient framför , som foppa skriver. Men det är det inte i detta fall.
är jag inne på rätt spår nu?
Laguna skrev:canna skrev:Laguna skrev:Du missar några saker i pq-formeln. Det ska vara minustecken framför p/2, och q ska vara med under rottecknet, och du ska subtrahera q, inte addera (när du subtraherar blir det - (-10), alltså +10).
Jag hänger inte riktigt med, hur menar du?
Jag påpekade tre fel. Vilket är du osäker på?
Det sista, alltså subtrahera q.
Jaha, nu ser jag. Du hade skrivit av ekvationen fel i ditt första inlägg. Du har helt rätt i att 2 och -5 är lösningar (förutsatt att du har skrivit rätt på ditt papper). Jag trodde att de lösningarna var fel. Därav mitt tips att sköta in dem i ekvationen.
Peter skrev:Jaha, nu ser jag. Du hade skrivit av ekvationen fel i ditt första inlägg. Du har helt rätt i att 2 och -5 är lösningar (förutsatt att du har skrivit rätt på ditt papper). Jag trodde att de lösningarna var fel. Därav mitt tips att sköta in dem i ekvationen.
Såg det nu, rättade till det
Du har svårt att använda formeln på rätt sätt, som de andra säger. Sen bör du kontrollera om (3/2)^2 verkligen är 4,5. Tänk på att man alltid tar parentesen först
canna skrev:Laguna skrev:Du missar några saker i pq-formeln. Det ska vara minustecken framför p/2, och q ska vara med under rottecknet, och du ska subtrahera q, inte addera (när du subtraherar blir det - (-10), alltså +10).
Jag hänger inte riktigt med, hur menar du?
Om du har så kan du använda pq-formeln på en gång, där p=3 och q=-10. Vi får då
Du har ekvationen x^2 + 3x - 10 = 0
Det som hamnar under rottecknet ser ut såhär: sqrt((p/2)^2 - q). I ditt fall är värdet på q negativt därför måste det bli såhär under rottecknet: sqrt(((3/2)^2 -(-10))). Vad blir det? Du vet att - • - blir +.
Nu blev det en #%§¤$ massa parenteser. Jag skriver nämligen via telefon. 🌸
Peter skrev:Du har svårt att använda formeln på rätt sätt, som de andra säger. Sen bör du kontrollera om (3/2)^2 verkligen är 4,5. Tänk på att man alltid tar parentesen först
Haha, jag tror att det är ganska uppenbart att jag inte riktigt vet vad jag håller på med ;)
slår jag in det på miniräknare får jag att de är 9/4. pga hjärnsläpp fattar jag inte vad det blir. Därför räknade jag 1,5*3=4,5, men detta är inte min starka sida och jag har kunskapsluckor så det räcker och blir över.
På rätt väg! Men vad blir ?
Och tänk på att q = -10. Så under rottecknet ska det vara -(-10), alltså +10. Är du med på det?
foppa skrev:canna skrev:Laguna skrev:Du missar några saker i pq-formeln. Det ska vara minustecken framför p/2, och q ska vara med under rottecknet, och du ska subtrahera q, inte addera (när du subtraherar blir det - (-10), alltså +10).
Jag hänger inte riktigt med, hur menar du?
Om du har så kan du använda pq-formeln på en gång, där p=3 och q=-10. Vi får då
Men vad enkelt och självklart det är när man ser det sådär.. Tack!
Sten skrev:På rätt väg! Men vad blir ?
Och tänk på att q = -10. Så under rottecknet ska det vara -(-10), alltså +10. Är du med på det?
9/4 såklart.. Ibland krånglar man till det för sig.
Natascha skrev:...
Nu blev det en #%§¤$ massa parenteser. Jag skriver nämligen via telefon. 🌸
Natascha, tänk på att använda ett vårdat språk! Jag tog bort din svordom från inlägget. /moderator
Smaragdalena skrev:Natascha skrev:...
Nu blev det en #%§¤$ massa parenteser. Jag skriver nämligen via telefon. 🌸
Natascha, tänk på att använda ett vårdat språk! Jag tog bort din svordom från inlägget. /moderator
Oj! Förlåt! 🙈😩
Sten skrev:
Jag försöker förklara hur man använder formlerna som Sten la in.
Om du har en ekvation som ser ut som den övre då får du lösningen med den undre. Ditt jobb är då att skriva om din ekvation så att den ser ut som den övre. Först då kan du se vad p och q är. Och först då är det ok att använda den undre.
I ditt fall behöver du inte skriva om så mycket:
X²+3x+(-10)=0
Då ser du tydligt att p=3 och q=-10, precis som de andra skriver. Nu är det ok att sätta in detta i den undre ekvationen. Var noga med teckenregler och parenteser. T.ex. säger den undre att det ska vara ett minustecken framför q. I ditt fall blir det då
-(-10) dvs +10
Gammal klassisk högstadiematte men det behöver du träna mer på ser det ut som. Sen är det så klart noga med vad som är under rottecknet. Man måste dra roten ur rätt tal, så klart.