Svårt att avgöra om cylindriska-/sfäriska koordinater
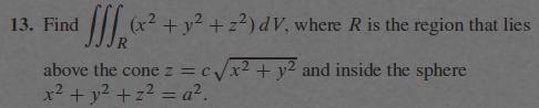
Jag förstår inte när jag ska använda cylindriska respektive sfäriska koordinater. Finns det någon enkel förklaring till vad man ska välja till uppgifterna nedan? (uppgift 1 och 3 söks volym)




Nej det finns det inte
Pröva båda och se vilket som gör problemet enklast att lösa.
PATENTERAMERA skrev:Pröva båda och se vilket som gör problemet enklast att lösa.
Jag börjar testa med sfäriska koord. Verkar få fel svar, vet ej varför.

Att R ligger mellan 0 och roten ur 2 gäller bara då . För så kommer maxvärdet på R att bero av . Så du får dela upp i två integraler.
PATENTERAMERA skrev:Att R ligger mellan 0 och roten ur 2 gäller bara då . För så kommer maxvärdet på R att bero av . Så du får dela upp i två integraler.
Jo. Mitt tänk var precis som så att R har maxvärdet roten ur 2 och att värdet på R för phi större än pi/4 måste ligga mellan 0 och roten ur 2.
För värden på fi som är större än pi/4 så skall R gå mellan noll och ett värde som beror av fi.
Du måste bestämma hur integrationsgränsen för R beror av fi.
PATENTERAMERA skrev:För värden på fi som är större än pi/4 så skall R gå mellan noll och ett värde som beror av fi.
Du måste bestämma hur integrationsgränsen för R beror av fi.
R=r²/cosphi ?
Bra start.

PATENTERAMERA skrev:Bra start.
Tack du är fantastisk