3
svar
136
visningar
kemi123 behöver inte mer hjälp
Symmetri
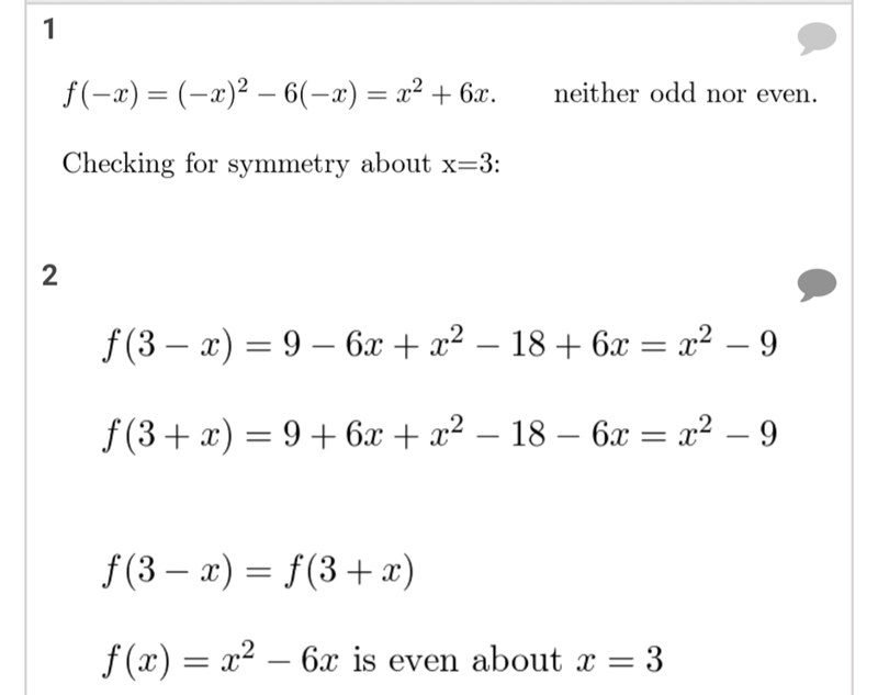
Uppgift 17.
Varför räknar man med x=3?
För när jag satte in x=2 så blev resultatet
f(2-x)=f(2+x)
Alltså even about x=2


De använder x = 3 eftersom f(x) har symmetrilinjen x = 3. och är inte samma sak? :)
Smutstvätt skrev:De använder x = 3 eftersom f(x) har symmetrilinjen x = 3. och är inte samma sak? :)
Okej men hur vet man att det är x=3? Är det för att man delar 6x med 2 eller?
mattelinnea skrev:Smutstvätt skrev:De använder x = 3 eftersom f(x) har symmetrilinjen x = 3. och är inte samma sak? :)
Okej men hur vet man att det är x=3? Är det för att man delar 6x med 2 eller?
Precis, om man kvadratkompletterar får man x^2-6x=(x-3)^2-9 som är jämn runt 3.