Symmetri kring ln(sqrt2)?

Tack på förhand!
Här skulle jag nog sätta in svarsalternativen och testa vad som passar. :)
Prova att multiplicera ln(-1) med (+1)i täljaren och nämnaren.
Smart rapidos, tack så mycket.
Smutstvätt, har svårt att se vilket som passar bäst då jag inte vet värdet av de olika alternativen. Hur gör jag det?
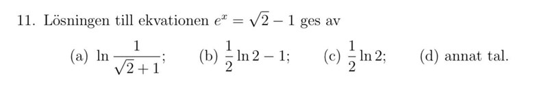
Börja med a):
. Vi sätter in detta i ekvationen:
, vilket ger oss
Förenkling ger nu att
a) är alltså korrekt. Kan du göra detsamma med b och c? (Egentligen inte nödvändigt nu när vi hittat rätt svar, men det är bra att träna på metoden 😅).
Tack för den utförliga lösningen Smutstvätt. Har lite svårt att göra samma sak med b och c då de inte har alla sina siffror innanför ln
.
Ok, så man kan skriva om det till:
Har jag gjort rätt då?
Nästan!
Jaha juste, tack så mycket!
Då blir det om man sätter svarsalternativ c) som exponent med e som bas
Ja (minus utropstecknet, men det gör ingen skillnad i detta fall), och det blir helfel. :)