1
svar
274
visningar
Symmetrisk differens
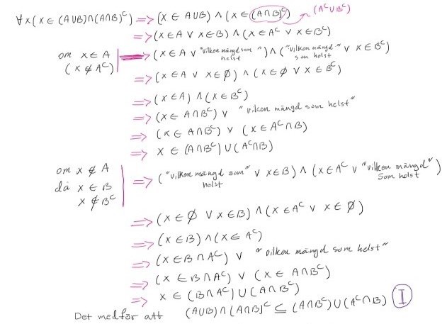
Bevisa att:
Så här har jag fört fram bevisföringen:


Låter det rimligt?
Din text är något för liten för att jag ska kunna läsa den bra (tomtens gamla ögon). Det jag uppfattar är att du tar ett godtyckligt element i VL och visar att det finns i HL och omvänt ett godtyckligt element i HL och visar att det tillhör VL. Det är den korrekta strategin.
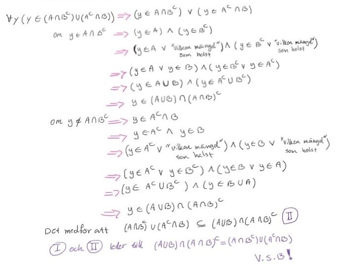
Kort uttryckt: VL är de element som tillhör A union B men inte A snitt B. Det innebär att om elementet tillhör A så får det inte dessutom ligga i B och om det ligger i B så får det inte ligga i A dessutom. Men det är ju precis vad HL säger.