Synvinkel
Hej!!
Jag har kört fast vid denna uppgift.. Super tacksam för all hjälp!
Kalla avståndet mellan gubben och väggen för x.
Kalla vinkeln mellan ögonhöjd till nederkanten på reklamskylten för w.
Du får då att
tan(v+w)= (1,5+1,0)/x
och att
tan(w)= 1,0/x
Utnyttja att tan(u)= sin(u)/cos(u) och formlerna för sinus av summan av två vinklar och cosinus för summan av två vinklar och se om det ger något.
Tack så mycket för svaret men det hjälpte inte mig så mycket😔 skulle du snälla kunna förtydliga hur du gör?
I ärligheten namn visste jag inte om det skulle gå att få ut maxvärdet på v från sambanden genom att bara manipulera enligt räknereglerna. Nu då jag tänkt efter har jag hittat hur man skall göra:
Börja med att utnyttja sambanden för att göra v till en funktion av x. Funktionen lär innehålla arctan.
Derivera därefter v med avseende på x.
Undersök när derivatan blir noll. Då lär det vara något extremvärde, vilket är det som du var ute efter.
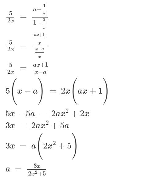
Tack!! Jag får funktionen v=arctan (3x)/((2x)^2+5).
Dock funderar jag över hur man deriverar en arctan funktion? Står ingenting om det i matte 5 boken.
Hm. Ja, det är något jag på rak hand inte visste heller, men man får fram vad derivatan är om man använder godtycklig sökmotor på nätet.
Om det inte står med i boken är kanske tanken att man skall lösa uppgiften på annorlunda vis.
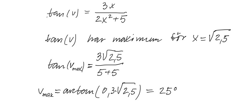
Det finns en lite bättre metod (enligt mig). Eftersom tan är en växande funktion (och v garanterat ligger i intervallet (0, 90) grader) så blir v som störst då tanv är som störst, d.v.s när 3x/(2x²+5) är som störst. Detta blir ett mycket lättare problem att lösa.
Juitre skrev:Det finns en lite bättre metod (enligt mig). Eftersom tan är en växande funktion (och v garanterat ligger i intervallet (0, 90) grader) så blir v som störst då tanv är som störst, d.v.s när 3x/(2x²+5) är som störst. Detta blir ett mycket lättare problem att lösa.
Behöver man inte ändå beräkna derivatan och sätta den = 0 för att se funktionens maximivärden?
Ja, men du har en mycket lättare funktion att jobba med.
Jahaa nu förstår jag hur du menar, tack!! Men jag får vinkeln till 1,58 vilket är väldigt orimligt, fattar inte vad jag gjort för fel.
Har du kontrollerat om din räknare är inställd på radianer eller grader?
Hur kom du fram till att v=arctan (3x)/((2x)^2+5)?
jag fick det med hjälp av en tidigare tråd som jag hittade. Men jag förstår absolut ingenting. 

tan(v+w) ges av
Därifrån får de det första sambandet.
Om vinkeln v+w är vinkeln mellan det vågräta avståndet till väggen från gubben och det sneda avståndet från gubben till överkanten på reklamskylten så kan vi stoppa in det i sambandet ovan. tan(v+w) blir då som att man tar motstående katet delat på närliggande, dvs. (1+1,5) delat på avståndet x.
På samma vis blir tan(w) motstående katet delat på hypotenusan för den mindre triangeln, dvs. 1 delat på avståndet x.
Känns det mer vettigt? Eller är det fortfarande obegripligt?
Jan Ragnar skrev:
Ah jag förstår tack! Men hur kan jag få fram vinkeln utifrån det?
Uppgiften efterfrågade aldrig vad vinkeln blir.
ojjjj jag har missförstått hela uppgiften.. Så jag måste placera mig 1,58 m från skylten. Tack så hemskt mycket!!!
Jan Ragnar skrev:
Tackk!!!

