Syra-bastitrering
Hej, jag har kört fast i en uppgift där jag försöker lista ut saltsyrans koncentration. Lösningen med den kända koncentrationen är 0,1 mol/dm^3 Natriumhydroxid och lösningen med den okända koncentrationen är 10ml Saltsyra. Jag har 3 st titreringsvärden:
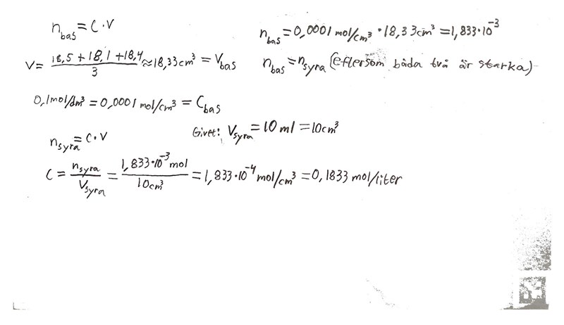
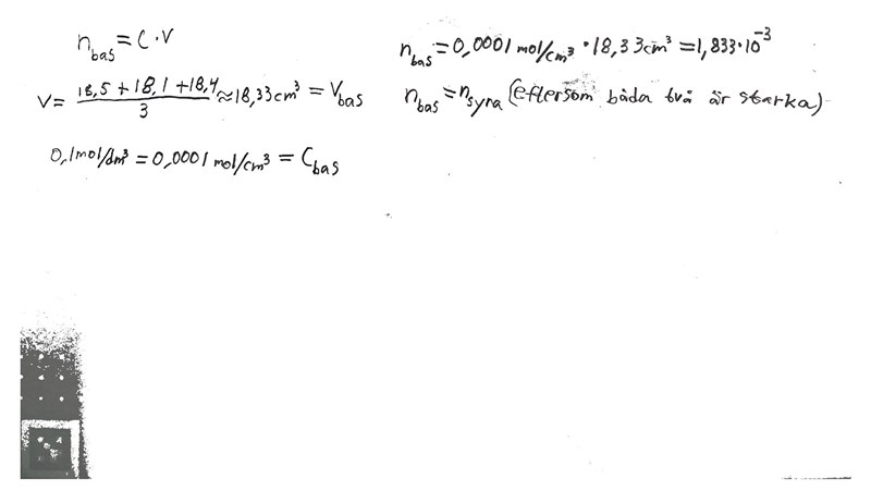
- 18,5 cm^3
- 18,1 cm^3
- 18,4 cm^3
Jag har försökt lösa med hjälp av formeln c=n/v med antagandet att lösningarna kommer reagera 1:1 då natriumhydroxid är en stark bas och saltsyra är en stark syra. Hur är det jag till att börja med tar reda på V i detta fallet? Blir förvirrad med de tre titreringsvärdena och har testat att räkna på deras medelvärde men fått fel. Hur är det man ska gå tillväga för att ta reda på saltsyrans koncentration i mol/liter i detta fallet?
Har du beräknat n? Visa din beräkningar.
Här är mina uträkningar för n
Det ser rätt ut så långt! Hur har du gått vidare med beräkningen?
Antmar03 skrev:
Här är mina uträkningar för n
Man får göra som man vill men jag tycker det är betydligt lättare att göra om volymen till dm3 istället för att hålla på med koncentrationens enhet.
SvanteR skrev:Det ser rätt ut så långt! Hur har du gått vidare med beräkningen?
Löste det! Måste ha blivit fel när jag konverterade mol/cm^3 till mol/liter. Tack för försäkringen att jag hade gjort rätt så pass långt så att jag kunde hitta felet! 
Antmar03 skrev:SvanteR skrev:Det ser rätt ut så långt! Hur har du gått vidare med beräkningen?
Löste det! Måste ha blivit fel när jag konverterade mol/cm^3 till mol/liter. Tack för försäkringen att jag hade gjort rätt så pass långt så att jag kunde hitta felet!
Precis. Därför det kan vara smart att bara ändra volymens enhet;)