0
svar
81
visningar
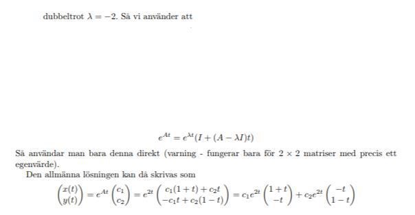
System av diff.ekv. där motsvarande matris endast har ett egenvärde (kort fråga)
Nedan är bara en del av lösningsförslaget. Jag undrar bara varför de får när egenvärdet är (-2)?
