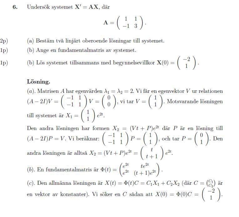
Ta fram fundementalmatris samt den allmänna lösningen
Hej, undrar angående denna uppgift, vet hur man tar fram första egenvektorn och x1 men hur gör man när man endast får ett lambda värde som i denna uppgift blir 1. Vad skall man göra för att få fram det andra egenvärdet och x2 förstår ej facit, först är min lösning därefter facit. Tack för hjälpen!

Behöver verkligen hjälp me denna
Du har stött på fallet med där du har en dubbelrot till den karakteristiska ekvationen. Det betyder att du bara får ett egenvärde och en egenvektor ( och ).
Men vi vill ju ändå ha två linjärt oberoende lösningar till vårt system av differentialekvationer . Hur går vi då till väga?
Den ena lösningen ges ju såklart av . För den andra kan vi gå tillbaka till när vi löste differentialekvationer av typen (det finns faktiskt många likheter mellan dessa två typer av problem). Då stötte vi också på problem när den karakteristiska ekvationen hade en dubbelrot. I det fallet kunde vi lösa det genom att lägga till ett för att få den andra lösningen . Det visar sig att vi kan göra något liknande nu.
Det är faktiskt så att vi kan få en lösning på formen , där och är vektorer. Om vi sätter in detta i vårt system får vi:
(Till vänster används produktregeln för att derivera)
Då termerna i VL och HL måste vara lika följer att och . Det första villkoret, ekvivalent med innebär att är egenvektorn och egenvärdet. Det andra villkoret, ekvivalent med gör det möjligt att bestämma vektorn .
Våra två linjärt oberoende lösningar är alltså:
där är egenvektorn, är egenvärdet och är lösningen till ekvationen . Se nu om du kan ta fram vektorn .
Får då detta, om jag förstått rätt när man tar A matris -I matrisen och sätter de lika med v1 men hur bryter jag sen ut v2??
Om så ger ju din reducerade totalmatris att . Väljs fås och vektorn blir .
Tackar, så man kan välja, vad u1 ska va bara sådär eller finns de någon regel?
O på denna liknande uppgift är de fel att få fram V2 på de sättet jag fick? För jag fick 

kalle100 skrev:Tackar, så man kan välja, vad u1 ska va bara sådär eller finns de någon regel?
Vektorn uppfyller ju kravet oavsett vilket -värde du väljer, så ja, du kan välja vilket värde på du vill.
skickade fel bild på mitt svar sorry är de ändå rätt?