1
svar
97
visningar
starboy behöver inte mer hjälp
Ta fram primitiv funktion
Hej,
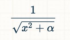
Jag har i uppgift att ta fram den primitiva funktionen till:

Jag har svårt att komma på hur jag ska tänka här då jag inte direkt ser någon standardderivata. Tar tacksamt emot tips!
Har du gjort någon liknande förut, t.ex. eller ?