5
svar
253
visningar
Qetsiyah behöver inte mer hjälp
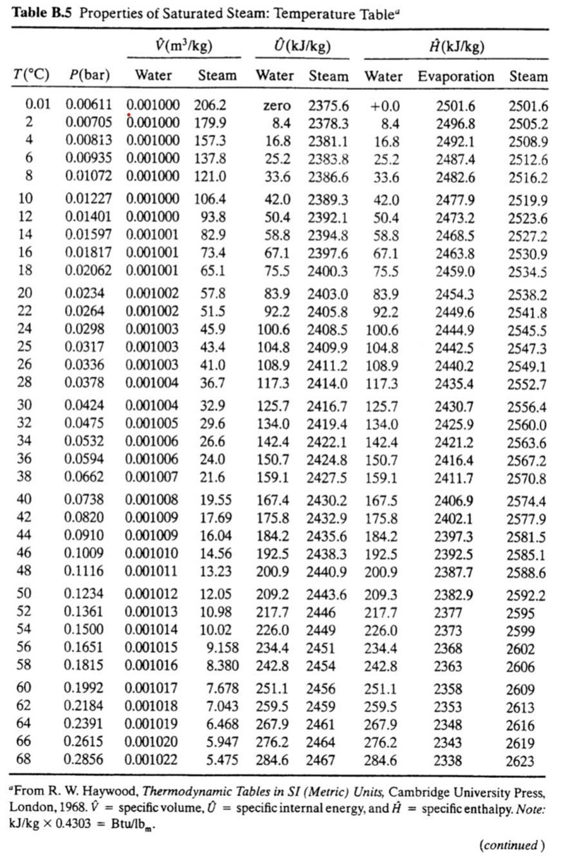
Tabellvärde för maximal fuktighet vid 80 grader
Hej, jag ska göra denna uppgift

Jag vill veta hur många mol vatten det finns i den där bastun, och jag tror denna tabell hjälper men vet inte hur jag ska avläsa. (det finns för 80 grader men inte i denna bild)

Tack!
Jag hittade en tabell i min bok och ändrade frågan, men då hade du redan svarat haha
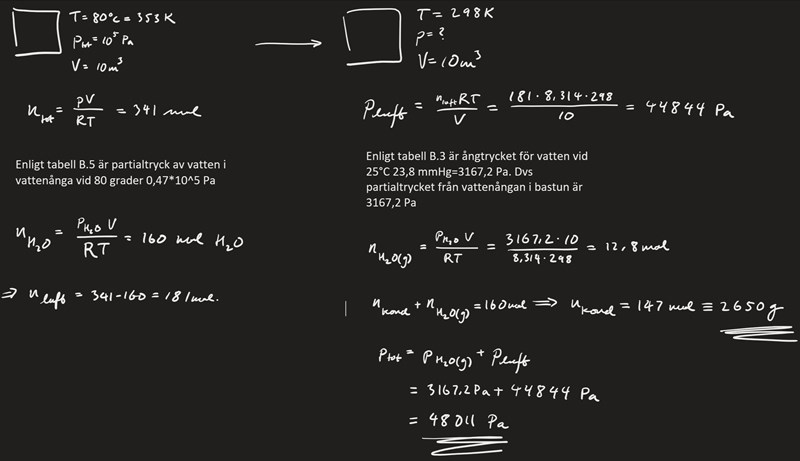
Per begäran av smaragdalena så kommer här en följdfråga i samma tråd vilket är att checka min lösning:

Ser rätt ut!
Nice tack så myckrt
