Tåg dras in med trissa
Hej, behöver lite hjälp med följande uppgift. Har börjat och ställa upp en jämviktsekvation i x-led och har satt den lika med 0 då hastigheten är konstant. Är lite osäker om det bör vara 0 då de i uppgiften frågas om acceleration. Är också lite osäker om jag gjort friläggningen korrekt.

Vajern dras in med konstant fart, det betyder inte att vagnen rör sig med konstant fart. Vinkeln kommer att ändras när vagnen dras framåt.
Jan Ragnar skrev:
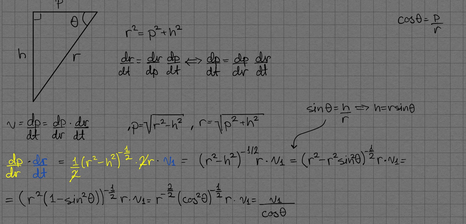
Vi kan derivera både r och P eftersom vi vet att deras storlek beror på tiden t. Är det så man ska tänka?
Förstår inte riktigt hur du kommer fram till den tredje raden. Är med på att höjden h är oberoende av tiden t och därmed ger 0 vid derivering.
Edit: Är det något sådant förstår dock ändå inte hur kvarstår i vänsterledet, borde gå bort?
Är ?
Kom fram till att
Edit: rättelse
Ja, dr/dt = v1, som är konstant.
Därför blir d2r/dt2 = 0.
Jan Ragnar skrev:Ja, dr/dt = v1, som är konstant.
Därför blir d2r/dt2 = 0.
Men är det i tågets riktning? Känns som accelerationen inte bör var 0. Ju mer vajern dras åt desto långsammare hastighet => vi har acceleration
Vagnens hastighet eller acceleration är inte 0. dr/dt är wirens (linans) hastighet som är konstant, troligen bestämd av en motor.
Jan Ragnar skrev:Vagnens hastighet eller acceleration är inte 0. dr/dt är wirens (linans) hastighet som är konstant, troligen bestämd av en motor.
Okej då tänker jag rätt. Har jag beskrivit vagnens acceleration korrekt några svar innan denna
Cien skrev:Jan Ragnar skrev:Vagnens hastighet eller acceleration är inte 0. dr/dt är wirens (linans) hastighet som är konstant, troligen bestämd av en motor.
Okej då tänker jag rätt. Har jag beskrivit vagnens acceleration korrekt några svar innan denna
Du menar där du skrev att det är (d2r/dt2 =) noll delad med cos θ?
Pieter Kuiper skrev:Cien skrev:Jan Ragnar skrev:Vagnens hastighet eller acceleration är inte 0. dr/dt är wirens (linans) hastighet som är konstant, troligen bestämd av en motor.
Okej då tänker jag rätt. Har jag beskrivit vagnens acceleration korrekt några svar innan denna
Du menar där du skrev att det är (d2r/dt2 =) noll delad med cos θ?
Jag förstår att det var fel 😅
Jan Ragnar skrev:
Edit 1: Jag fick det att funka nu. Kan ignorera detta svaret.
Kan vi ta ett steg tillbaka hit. Tror det är här problemen härstammar. Förstår inte riktigt vad som händer här. Jag vet att vi söker hastigheten dock inte hur vi kommer fram till . Låt mig utveckla med en bild.
Edit 1:

Jan Ragnar skrev:
Är inte riktigt med hur , tänker på den här delen 
Edit 1: Jag förstår att
Edit 2: Själv får jag
Kedjeregeln:
Detta därför att:
\dfrac{d}{d\theta} (\cos(\theta))= -\sin(\theta)
I din uppställning skulle det bli först \cos\theta-\sin\theta$$.
Får verkar det rimligt?
Gör enhetsanalys så ser du att det inte kan stämma.
SaintVenant skrev:Gör enhetsanalys så ser du att det inte kan stämma.
varför stämmer det inte?
Sinus och cosinus är rena tal.
Pieter Kuiper skrev:Sinus och cosinus är rena tal.
Nu ska vi se, . Enhetsanalys
Jan Ragnar skrev:
Fick i princip samma svar, hade bara slarvat lite.
Tack ska du ha, hatten av till dig!


