Tal 7237 i origo. (Handlar om geometriska funktioner/samband)
Hej allihopa! Jag har försökt en rad olika sätt att lösa uppgiften på. Vad jag försökt med nästan alla är att ställa upp en ekvation. Skulle jag kunna få lite tips om hur jag börjar räkna ut svaret? 

Hej och välkommen till Pluggakuten!
Du skulle kunna göra sådär

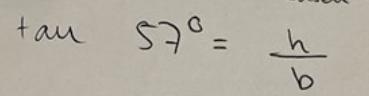
Här kan du räkna ut b

här kan du sedan räkna ut h, då du vet b
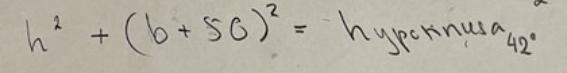
och stoppa in b-värdet och h-värdet här.
Hänger du med?
Men man klarar sig med mindre beräkningssteg ifall du hade använt cosinus-sambandet från början. Hänger du med på det?
JohanF skrev:Hej och välkommen till Pluggakuten!
Du skulle kunna göra sådär
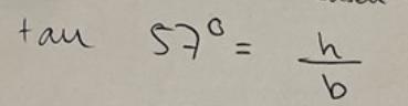
Här kan du räkna ut b
här kan du sedan räkna ut h, då du vet b
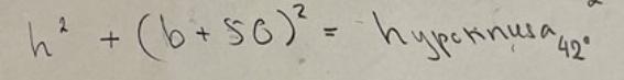
och stoppa in b-värdet och h-värdet här.
Hänger du med?
Men man klarar sig med mindre beräkningssteg ifall du hade använt cosinus-sambandet från början. Hänger du med på det?
Jag hänger inte riktigt med. Förlåt. Kan jag få det lite mer grundligt förklarat? När jag förenklar uttrycket så fastnar jag alltid vid två olika okända
Fadell skrev:Jag hänger inte riktigt med. Förlåt. Kan jag få det lite mer grundligt förklarat? När jag förenklar uttrycket så fastnar jag alltid vid två olika okända

Det här ser strålande ut! Jag fick någon gång tidigare 133 som svar. I facit står det dock 160 m.
Räknade fel på slutet, x = 162
Här är en kortare lösning



och stoppa in b-värdet och h-värdet här.