Tal
Godkväll! Jag förstår inte hur jag ska visa detta.
uppgift 17. 
3x+3x+3x =3*3x =3x+1
Är du med så långt?
Vad får du om du kvadrerar 3x+1 ?
Ture skrev:3x+3x+3x =3*3x =3x+1
Är du med så långt?
Vad får du om du kvadrerar 3x+1 ?
Nej, jag hängde inte med :)
Jag tycker att (3x+3x+3x)2 = (9x)2
Men jag förstår inte riktigt själv hur jag kommer fram till det. Jag tycker detta är svårt.
Du har 3 st 3x därför 3*3x som kan skrivas 31*3x = 3x+1 är du med på det?
Ture skrev:Du har 3 st 3x därför 3*3x som kan skrivas 31*3x = 3x+1 är du med på det?
Jag förstår fram till och med 3*3 upphöjt x. Sedan förstår jag inte tyvärr.
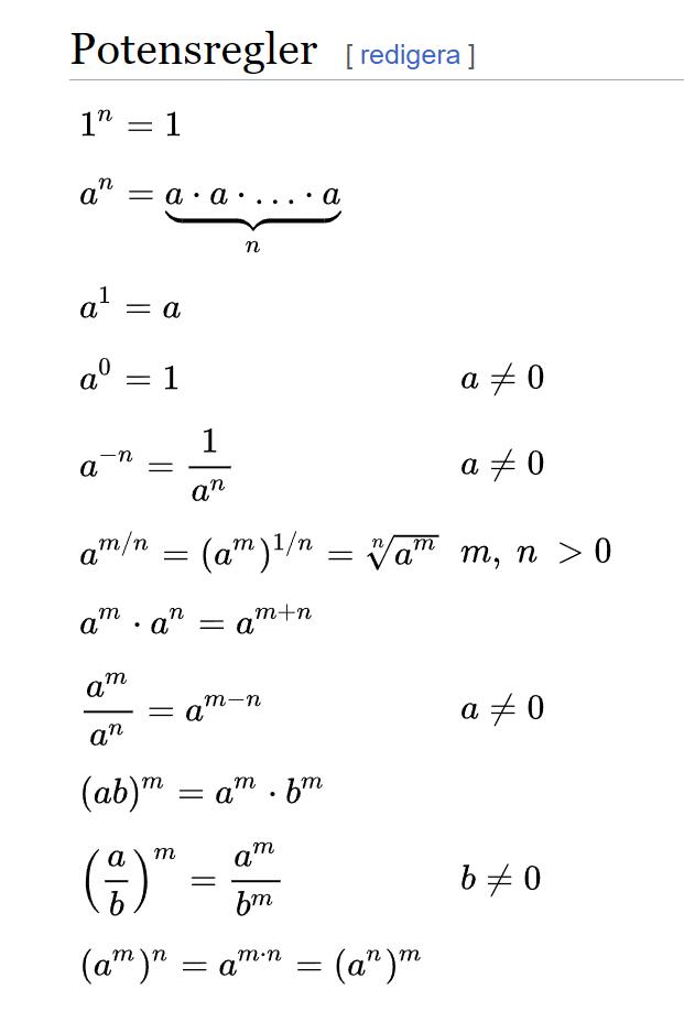
Ok det är en räkneregel för potenser, se nedan

i ditt fall är a = 3, m är 1 och n är x
Om du inte kan räkna med potenser bör du träna på det.
Jag har klippt in resterande räkneregler. Varav den understa kommer till användning när du kvadrerar 3x+1
