talet e
Jag skulle behöva lite information om talet e
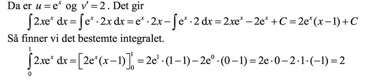
t.ex. om jag har talet e som i denna uppgiften jag har haft uppe innan, vad blir t.ex" "?
Finns det någon sida som beskriver alla olika scenario med talet e?
Med vänlig hälsning
Jag vet inte vad du menar med alla olika scenario.
e är bara ett vanligt irrationellt tal som är ungefär lika med 2,72. Så 2e^1 = 2e, vilket är ungefär lika med 5,44.
På denna sida beskrivs talet e lite mer.
är knappast svårare att förenkla än . Vad-som-helst upphöjt till ett är vad-som-helst.
Det är ingenting magiskt med talet e, man räknar med det precis som med alla andra tal.
Om du deriverar får du , där k > 1.
Om du deriverar får du , där k < 1.
Om du deriverar får du , där k = 1.
En exponentialfunktion är extra lätt att derivera om den är skriven med basen e, därför är det bra att ha ett namn på det talet, precis som det är bra att ha ett namn på talet .
Jo, det kanske är något magiskt med talet e i alla fall - men man räknar med det precis som vilket annat tal som helst.
Tack snälla, detta hjälpte mig! :)