3
svar
95
visningar
Bayan Ali behöver inte mer hjälp
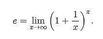
talet e - gränsvärde
Hur löser man definitionen för talet e?

Vilka antaganden/redan bevisade satser får du använda? :)
Jag tror att jag endast får utgå från gränsvärdet.
Så står det i uppgiften:

Knappa in det på miniräknaren med större och större x, tills de första decimalerna slutar ändras.