3
svar
51
visningar
Chris.cafu behöver inte mer hjälp
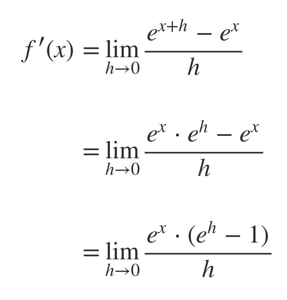
Talet e^x =1 i det här exemplet. Hur?
Här är länken till exemplet. Tack i förhand
https://www.matteboken.se/lektioner/matte-3/derivata/harledning-f-x-e-x#!/

Vadsomhelst0 = 1, det lärde du dig i Ma1. Det är besläktat med att x/x = 1 för alla vrden på x.
Smaragdalena skrev:Vadsomhelst0 = 1, det lärde du dig i Ma1. Det är besläktat med att x/x = 1 för alla vrden på x.
Jag tror nu att jag kollar på det att den sista delen har blivit faktoriserad med e^x. då blir det 1. Det lär man dock i ma3.
Att faktorisera ab-a = a(b-1) lärde du dig för länge sedan, nu är bara a oc b lite mer komplicerade!