3
svar
109
visningar
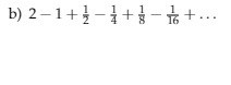
Talföljd

Jag räknar så här:
Detta är helt fel och svaret ska bli 4/3 ?
Jag använder formeln
Vad gör jag för fel?
Vilket värde har q?
Laguna skrev:Vilket värde har q?
Värdet är -1/2 enligt mig men enligt facit 1/2
Vad säger facit?
och vad blir 1-q om q = -1/2?