11 svar
232 visningar
behemoth behöver inte mer hjälp
behemoth 77 – Fd. Medlem
Postad: 20 okt 2021 10:39

Talföljd.. Induktion..

Är helt lost på denna typen av uppgifter.. Kan någon peka lite lätt åt ett håll för mig att börja på? :) Hade uppskattats!

 

Håller på att läsa om induktion i boken just nu, men har precis börjat med det.

Smutstvätt 23716 – Moderator
Postad: 20 okt 2021 10:53

Börja med att ta fram några siffror i talföljden (genom den rekursiva formeln): 

a1=1a2=5a3=25a4=125

Vilken icke-rekursiv formel skulle det kunna handla om? :)

behemoth 77 – Fd. Medlem
Postad: 20 okt 2021 12:03
Smutstvätt skrev:

Börja med att ta fram några siffror i talföljden (genom den rekursiva formeln): 

a1=1a2=5a3=25a4=125

Vilken icke-rekursiv formel skulle det kunna handla om? :)

an=5n?

Smutstvätt 23716 – Moderator
Postad: 20 okt 2021 12:14

Helt rätt! Nu behöver vi genomföra tre steg: 

1. Basfall

2. Induktionsantagande

3. Induktionssteg (användande av antagandet)

 

Vi kan börja med basfallet. Vi kan använda basfallet n=2n=2. Stämmer formeln för detta fall? :)

behemoth 77 – Fd. Medlem
Postad: 20 okt 2021 12:21
Smutstvätt skrev:

Helt rätt! Nu behöver vi genomföra tre steg: 

1. Basfall

2. Induktionsantagande

3. Induktionssteg (användande av antagandet)

 

Vi kan börja med basfallet. Vi kan använda basfallet n=2n=2. Stämmer formeln för detta fall? :)

Nej.. Så formen är an=5n5? Då stämmer det?

Smutstvätt 23716 – Moderator
Postad: 20 okt 2021 12:36 Redigerad: 20 okt 2021 12:38

Det beror på vilket n vi börjar på, men ja jo, 5n-15^{n-1} är nog en bättre formel. Vi kör på den istället. :) Eftersom vi har en rekursiv formel som inkluderar två föregående tal, behöver vi två basfall och två antaganden.

Okej, så det stämmer för n=2n=2. Bra! Stämmer formeln för n=3n=3

Nu gör vi ett induktionsantagande, och antar att formeln stämmer för n=pn=p, dvs. att ap=5p-1a_p=5^{p-1}. Vi lär även behöva ett liknande antagande för n=p-1n=p-1

Vi vill nu på något vis använda detta antagande för att visa att ap+1=5(p+1)-1a_{p+1}=5^{(p+1)-1}. :)

behemoth 77 – Fd. Medlem
Postad: 20 okt 2021 14:19
Smutstvätt skrev:

Det beror på vilket n vi börjar på, men ja jo, 5n-15^{n-1} är nog en bättre formel. Vi kör på den istället. :) Eftersom vi har en rekursiv formel som inkluderar två föregående tal, behöver vi två basfall och två antaganden.

Okej, så det stämmer för n=2n=2. Bra! Stämmer formeln för n=3n=3

Nu gör vi ett induktionsantagande, och antar att formeln stämmer för n=pn=p, dvs. att ap=5p-1a_p=5^{p-1}. Vi lär även behöva ett liknande antagande för n=p-1n=p-1

Vi vill nu på något vis använda detta antagande för att visa att ap+1=5(p+1)-1a_{p+1}=5^{(p+1)-1}. :)

Ja det stämmer in för n=3 också, och vidare till n=4, n=5...

 

Så då har vi två basfall. Men är helt borta efter det.. Sitter och läser på matteboken.se om induktion ihop om att bli klokare.

 

Men när jag ska bygga mitt bevis så har jag "vänsterledet" avklarat, det är ju min befintliga formel som jag vet stämmer. 

Smutstvätt 23716 – Moderator
Postad: 20 okt 2021 15:48

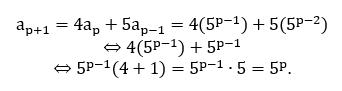
Vi vill bevisa att 4an+5an-1=5n-1, givet våra ursprungsvärden. 

Vi har gjort antagandena att ap-1=5p-1-1=5p-2, samt ap=5p-1. Vi vill nu bevisa att ap+1=5p+1-1=5p

Den rekursiva formeln säger att ap+1=4ap+5ap-1. Stämmer det att ap+1=4ap+5ap-1=5p? :)

behemoth 77 – Fd. Medlem
Postad: 25 okt 2021 20:21
Smutstvätt skrev:

Vi vill bevisa att 4an+5an-1=5n-1, givet våra ursprungsvärden. 

Vi har gjort antagandena att ap-1=5p-1-1=5p-2, samt ap=5p-1. Vi vill nu bevisa att ap+1=5p+1-1=5p

Den rekursiva formeln säger att ap+1=4ap+5ap-1. Stämmer det att ap+1=4ap+5ap-1=5p? :)

Vill säga ja, att det stämmer. Men kan inte förklara varför jag vill säga ja.. haha.

Smutstvätt 23716 – Moderator
Postad: 25 okt 2021 20:52

Prova! Sätt in antagandena istället för apa_p och ap-1a_{p-1} och förenkla. :)

behemoth 77 – Fd. Medlem
Postad: 25 okt 2021 21:07 Redigerad: 25 okt 2021 22:34
Smutstvätt skrev:

Prova! Sätt in antagandena istället för apa_p och ap-1a_{p-1} och förenkla. :)

Jag får ap+1=4(5p-2)+5(5p-2)=4(5p-2)+5p-1.

 

Så lång kom jag, vet inte hur jag ska hantera 4(5p-2)?

 

 

Löste det :)

Smutstvätt 23716 – Moderator
Postad: 27 okt 2021 22:19

Du är på rätt spår! Våra antaganden är att ap-1=5p-2a_{p-1}=5^{p-2} och ap=5p-1a_{p}=5^{p-1}. Vi har den rekursiva formeln an+1=4an+5an-1a_{n+1}=4a_n+5a_{n-1}, och vi vill bevisa att formeln an=5n-1a_{n}=5^{n-1}. Vi sätter in våra induktionsantaganden i den rekursiva formeln, och får då: 

5p+1-1an+1=?4·5p-1an+5·5p-1-1an-15p=?4·5p-1+5·5p-2

Stämmer formeln? :)

Svara
Close