1
svar
101
visningar
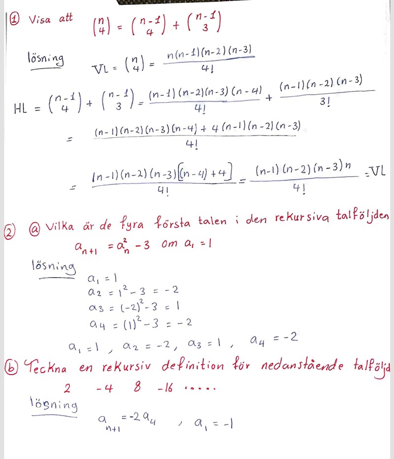
Talföljd och kombinationer
Hej,
Jag sitter fast med de uppgifterna och vill gärna kolla om jag har löst de rätt?
eran hjälp skulle uppskattas väldigt mycket!

Allt verkar bra utom detaljen att i 2b) bör vara 2