tan v = 1/3
För en vinkel v gäller att tan v = 1/3
3 . Ange samtliga möjliga värden på cos v.

Pythagroras sats funkar, men jag anar att det finns ett annat smidigare sätt att lösa denna uppgift på.
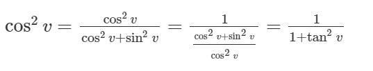
Nedanstående formel som man lätt kan härleda mha trigonometriska ettan är användbar
Formeln ser inte ut som att det är lätt att derivera den

Inte så svårt. (Om man har tränat lite.)
Sputnik67 skrev:För en vinkel v gäller att tan v = 1/3
3 . Ange samtliga möjliga värden på cos v.
Pythagroras sats funkar, men jag anar att det finns ett annat smidigare sätt att lösa denna uppgift på.
Hej!
Jag tror att du gjort på ett smidigare sätt än allt annat. 👍🏻
Det var enklaste sätt.
Sputnik67 skrev:För en vinkel v gäller att tan v = 1/3
3 . Ange samtliga möjliga värden på cos v.
Pythagroras sats funkar, men jag anar att det finns ett annat smidigare sätt att lösa denna uppgift på.
Du är på rätt spår, men du har ritat en triangel där vinkeln v har sinus 1/3. Kom ihåg reglerna:
tangens är motstående katet/närliggande katet
sinus är motstående katet/hypotenusan
Du har ritat det senare! Gör om på samma sätt men med rätt sidor markerade så blir det rätt!