Tanegentens lutning
En tangent fras till kurvan i den punkt där x=0.
kan någon hjälpa mig med att bestäm tangentens lutning?
Du får derivera funktionen.
Hm, funktionen är ju inte definierad för x = 0. Är uppgiften formulerad precis så?
ohh nej frågan är: En tangent dras till kurvan i den punkt där x = 0. Bestäm tangentens lutning.
OK, då kan du använda att tangentens lutning är lika med derivatans värde i tangeringspunkten.
Vet du hur du ska derivera uttrycket?
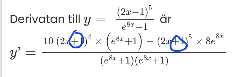
Derivatan till är
Yngve skrev:OK, då kan du använda att tangentens lutning är lika med derivatans värde i tangeringspunkten.
Vet du hur du ska derivera uttrycket?
Ska jag ersätta X med noll i andraderivatan?
Marko skrev:
Ska jag ersätta X med noll i andraderivatan?
Inte i andraderivatan, men i förstaderivatan.
Lutningen är lika med y'(0).
Men du har råkat skriva plus där det ska stå minus:

Yngve skrev:Marko skrev:Ska jag ersätta X med noll i andraderivatan?
Inte i andraderivatan, men i förstaderivatan.
Lutningen är lika med y'(0).
Men du har råkat skriva plus där det ska stå minus:
juste, så
så svar: tangentens lutning är 7
Men jag fattar inte varför vi gjorde lutning lika med y'(0).
Nu ser det rätt ut.