2
svar
134
visningar
MoaA behöver inte mer hjälp
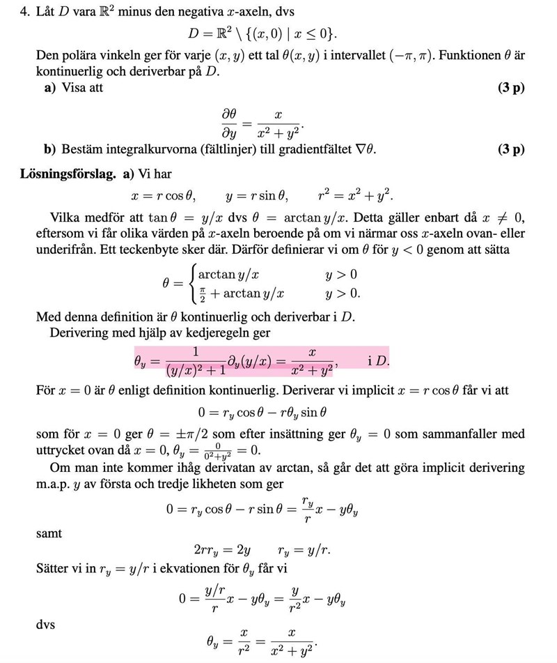
Tangens
Hej! När jag deriverar tan() får jag det de skriver först i det jag markerat rosa nedan. Däremot så får jag i täljare x^2 och inte x i förenklingen de gör. Kanske missuppfattar men vad kan vara fel?
Aha! Inre derivatan! Tack!
