Tangent & dualbasvektorer (Vektoranalys)

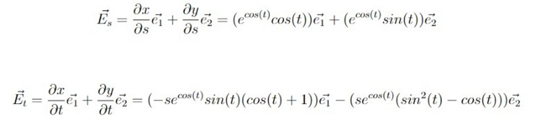
Hej! Behöver hjälp med denna uppgift. Jag tror jag lyckats räkna ut tangentbasvektorerna ganska enkelt genom att
göra följande:

Dock har jag problem med att hitta dualbasvektorerna. Jag försökte skapa ett ekvationsystem där jag uttryckte enhetsvektorerna e_1 och e_2 i form av grad(x) och grad(y) som jag sedan utvecklade och försökte lösa ut grad(s) och grad(t) ur ekvsystemet. Dock fick jag världens längsta uttryck och jag är 99% säker på att det blivit fel. Nedan ser ni försöket för att hitta dualbasvektorerna. Tacksam för hjälp!.

Du kan väl dubbelkolla om .
Hade helt glömt bort det, tack!. Testade och fick att delta = 1 vid samma index och = 0 vid olika index.
Då måste det vara rätt.
Du får lite enklare uttryck och räkningar om du bildar
samt
T.ex. är
D4NIEL skrev:Du får lite enklare uttryck och räkningar om du bildar
samt
T.ex. är
Hur blir det med x^2 + y^2? Försökte använda mig av det och lösa ut s, och sedan ta gradienten. Men fick fel svar. Dock blev gradienten av t rätt.
PATENTERAMERA skrev:=
Kanske en dum fråga, men vad gör jag efter detta? löser jag ut grad(s) genom att sätta in grad(t) samt värden på x och y?
Ja. Det går också att förenkla nämnarna i dina ursprungliga formler ganska mycket verkar det som.
PATENTERAMERA skrev:Ja. Det går också att förenkla nämnarna i dina ursprungliga formler ganska mycket verkar det som.
Ja, egentligen fick jag rätt svar med min ursprungliga metod efter enorm förenkling, men uttrycket jag fick var verkligen bökigt och kanske får avdrag för att denna metod inte skulla vara lämplig under en tenta.