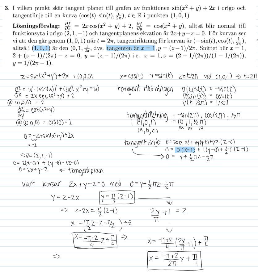
1
svar
97
visningar
Tangentlinje korsar tangentplan
Hur kommer det sig att vi kan säga att X koordinaten som har angivits (1,0,1) i frågeställningen för punkten där kurvan ska få tangentlinje, är samma x koordinat som ska skära andra tangentplanen?
Jag misstänker att det handlar om denna ekv 0=y + pi*z/2 -pi/2 . Kan svaret vara att det är pga x inte finns med i denna tangentlinje (tangentplan?) ekvation, och därför är x konstant?
(Här är originalfrågan och min beräkningsförsök, som du kanske inte behöver läsa genom om jag är på rätt spår med den frågan just ovan!)


