3
svar
105
visningar
offan123 behöver inte mer hjälp
Tangent och hitta talen a

Ser det bra ut hittills? Hur löser jag ut X ur denna ekvation längs ned?
Tangenten skall ju gå genom origo, x=0 , y=0
Ska jag sätta y=0 för tangenten och 0 för tangenten?
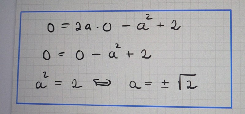
Så här? Verkar stämma med min bild att det kommer finnas två a, där den ena är negativ och den andra positiv.
Ser att du stoppat in origo i tangentekvationen och fått fram 2 lsg.
Bra jobbat och cred för att du skriver så tydligt i dina lösningar.